Libro de Investigación
Ensayos de investigación sobre comercio y finanzas
Trade and Finance Research Essays
Claudia Paola García-Castiblanco1
Recibido:Septiembre 2018 Aprobado: Diciembre 2019
Prólogo
La globalización ha permitido la generación de redes internacionales
de
producción en las que las empresas pueden insertarse si
logran responder de maneras específicas a la demanda global. La
tendencia creciente en el volumen transado de mercancías, servicios e inversiones alrededor del
mundo
propicia un escenario que,
aunque complejo, ofrece oportunidades a quienes quieran ser parte de ese escenario.
Los incentivos del comercio internacional han favorecido el crecimiento de los mercados internos
y
externos y han implicado que
un número importante de compañías intervengan en las operaciones con el extranjero no solo en lo
comercial de la exportaciones
e importaciones, sino también en el flujo de inversión extranjera y
la contratación de mano de obra fuera del país de origen. Esas actividades son ejecutadas bajo
el
supuesto de que habrá beneficios
para la empresa; sin embargo, para que ello suceda, es necesaria
la construcción de estrategias organizacionales que de alguna manera permitan un correcto
análisis,
conocimiento y definición de
cómo se desarrollarán las relaciones con el sector externo.
De esa manera, son diversos los retos que deben asumir las empresas que participan de flujos con
el
extranjero; no obstante, la mayoría de estos estarán ligados a las adecuaciones que deberá
afrontar
la compañía respecto al contexto en el que se va a desarrollar, en
tanto que los análisis de costo y utilidad no serán suficientes y se
requerirá un análisis más amplio, que incluso puede iniciar a partir
de los ajustes organizacionales a realizar.
Así, la planificación de estrategias para la realización de negocios internacionales estará
orientada a
los objetivos que se tracela organización y que contribuyan a su posicionamiento en el
extranjero,
sin
perder de vista su mercado nacional. Esto implica, por
ejemplo, un óptimo manejo de los recursos, la adecuada selección
de los mercados y la innovación como importante generador de
valor, entre otros.
Dada su importancia, no es de extrañar que el estudio del comercio
internacional y sus dinámicas sea condición para el crecimiento de
las relaciones económicas y, por ende, de las empresas que participan en estas. Ya desde el
siglo
xviii,
Adam Smith, a través de la teoría
de la ventaja competitiva, se cuestionaba sobre los beneficios del
intercambio entre las naciones. Desde entonces, se han dado varios
aportes y avances hasta llegar a las propuestas teóricas de los años
ochenta de Krugman y los estudios circundantes de Helpman y la
propuesta ecléctica de Dunning, que constituyen un nuevo paradigma en el estudio de la economía
internacional.
La mayoría de estos análisis se ha enfocado en determinar los factores y beneficios de
desarrollar
el
comercio internacional, incluidos elementos como la competitividad, las economías de escala o
la innovación, que enriquecen el estudio del problema de la internacionalización. Además de sus
postulados y nuevos elementos de
análisis, la generación de teorías da cuenta de un sistema internacional que es activo y por
tanto
cambiante; el escenario se reorganiza y nuevos retos nacen, así como nuevas oportunidades para
quienes las estudien y las sepan aprovechar.
En Colombia, la investigación en el área no difiere de las realidades
empresariales nacionales, por el contrario, es un reflejo de estas.
Los grupos de investigación de la base de Colciencias que abordan
temáticas alrededor de la economía y los negocios han propuesto
como objeto de estudio una variedad de líneas en cuya mayoría
la organización es el centro de análisis. Asimismo, han sugerido
una serie de temas transversales como la responsabilidad social,
la gestión de la cadena de suministros, la internacionalización, las
finanzas, el comercio, el mercadeo, la gestión del recurso humano,
entre otros.
Para Colciencias (2018), en el país existen 457 grupos de investigación reconocidos en el área,
de
los
cuales el 40% está categorizado
en A, A1 y B. Estos grupos han generado cerca de 56000 productos
de investigación, en su mayoría de nuevo conocimiento. Sin embargo, el reto es hacer visible los
resultados de los procesos investigativos que se desarrollan en el país, de tal forma que
contribuyan al
desarrollo de la literatura en el campo.
En ese sentido, la base de Scopus muestra que a 2018 la publicación de artículos colombianos en
el
área
de comercio internacional
y afines se concentraba principalmente en temáticas relacionadas
con el emprendimiento y la internacionalización y que su número
ha ido aumentando. Para el 2010 tan solo se registraba un artículo
publicado en revista indexada; en 2015, se contabilizaron 24, y en
2017 se publicaron 53. Pese a ello, el número de citaciones alcanzado por estos artículos es, de
manera
general, bajo; el 54,2% no
cuenta con citación alguna y el 31% tiene menos de diez citas.
Así mismo, Scopus muestra que en las publicaciones de emprendimiento existen temáticas como el
impacto
de los factores ambientales, políticos y socioculturales en las organizaciones o la relación
de esos factores con la innovación y la creatividad. También destaca la literatura sobre
empresas
(incluidos estudios de caso) en los
artículos relacionados con la internacionalización de las pymes y
aquella sobre toma de decisiones en los estudios organizacionales.
La producción investigativa en emprendimiento, internacionalización y organizaciones puede
entenderse
como una respuesta a las
necesidades del contexto. En Colombia la promoción a la generación de empresa y su
internacionalización
son motores del crecimiento económico y herramientas para el posicionamiento en los
mercados internacionales que deberían nutrirse de investigación
formal. A su vez, esta última debe permear la formación de profesionales que estén en capacidad
de
dar
respuestas a los cambiantes
retos del entorno.
En esa medida, la Facultad de Ciencias Económicas y Administrativas de la Universitaria
Agustiniana,
como aporte a la generación de espacios para la difusión de la investigación nacional, convocó
a investigadores durante el segundo semestre del 2018 para que
presentaran resultados de investigación en estas áreas de conocimiento. Se postularon trabajos
en:
i)
internacionalización, eje en el
cual se recibieron investigaciones sobre gestión para inserción en
mercados internacionales, evaluación del comercio internacional
y mercados globales; ii) gestión de las organizaciones, en el que se
presentaron trabajos sobre el rol del gerente en las organizaciones, estrategias de la
organización,
modelos de gestión, gestión
de capital humano y gestión en pymes; iii) contaduría y finanzas,
cuyos tópicos giraron en torno a desafíos en la implementación
de niif, dilemas éticos del contador y aportes a la contabilidad nacional; y iv) mercadeo, con
trabajos
sobre gerencia de mercadeo,
gestión de marca, mercadeo en pymes, y posicionamiento y valoración de marca.
Como resultado de ese ejercicio, este libro recoge las tres mejores
investigaciones evaluadas bajo la modalidad “doble ciego”. Los trabajos escogidos destacan por
su
originalidad y aporte a las diferentes áreas investigativas propuestas, ya que enriquecen la
literatura
y la academia colombiana. Aunque los temas son variados, existen
puntos de encuentro entre las diferentes investigaciones respecto
a elementos a tener en cuenta para generar competitividad y aprovechamiento de oportunidades en
los
mercados globales.
El primer capítulo corresponde al trabajo “Relación entre la internacionalización y la
innovación en
las
empresas exportadoras del
área metropolitana de Bucaramanga”, investigación desarrollada
por el profesor Edgar Javier Gómez de la Universidad Santo Tomás.
Esta busca determinar qué tanta incidencia tienen factores como:
a) la creación o las modificaciones a los productos; b) la aplicación de
nuevos y mejores métodos de producción; c) la innovación organizacional; d) la innovación en
marketing,
en la actividad exportadora
de las empresas de esta región del país. Para este fin, es importante
tener en cuenta que la innovación es reconocida como un importante factor para el crecimiento y
la
expansión de las empresas.
Aunada a los resultados de la investigación, el lector encontrará en
este texto una caracterización del estado de la internacionalización
de las empresas en Bucaramanga, además de un completo estudio
de las teorías e investigaciones desarrolladas sobre la materia. El
estudio se soporta, por ejemplo, en los postulados de Schumpeter
sobre innovación, pero va más allá de la creación de productos y
abarca los cambios endógenos en las empresas que pueden tener
impacto en esta línea. En razón a esto, la investigación se apoya
en el manual de Oslo de la ocde y Eurostat para determinar las variables a medir entre la
internacionalización versus la innovación.
Esta es una propuesta que podría ser replicada en el análisis del
comportamiento exportador en otras regiones del país, lo que abriría una línea de investigación
para
los
interesados en la temática y
generaría aportes al sector empresarial.
En el segundo capítulo, “Diferencias departamentales en el comercio intraindustrial colombiano
con
Estados Unidos y Latinoamérica”,
escrito por Bernardo González Lozano, investigador del Banco de
la República, Catherine Valencia González y Marco Aguilera-Prado,
docentes investigadores de la Uniagustiniana, se busca identificar el
comportamiento de las relaciones comerciales de diversos departamentos del país —Antioquia,
Atlántico,
Bogotá, Caldas, Cundinamarca, Quindío, Risaralda y Valle del Cauca— con Argentina, Bolivia,
Brasil, Chile, Ecuador, México, Perú, Paraguay, Uruguay, Venezuela
y Estados Unidos, en el periodo 2011-2017. El objetivo es permitir un
mejor aprovechamiento de las estrategias de las agencias de competitividad, al centrarse en la
dinámica
intraindustrial. El capítulo
hace un balance de las relaciones comerciales del país en general y
por departamentos, lo que permite identificar los principales socios
y productos para cada caso. El estudio empleó el índice Grubel &
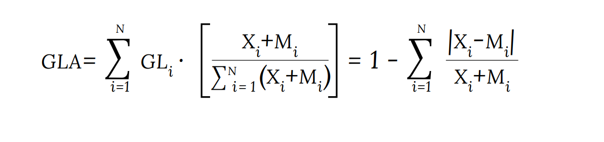
Lloyd para calcular el comercio intraindustrial, mediante el cual se
identificaron las regiones y productos más activos.
Finalmente, el capítulo “Factores determinantes del desarrollo
de competencias financieras en los futuros profesionales de administración de empresas de
universidades
colombianas” de los profesores Jorge Eliécer Gaitán Méndez, Diana Patricia Velásquez Castillo,
Yeimi
Viviana Marín Chaves, Andrés Rocha Alfonso y
Yeimy Katherine Serrano, adscritos a la Uniagustiniana, se centra
en la siguiente necesidad: dado que el profesional de esta área es
el responsable de desarrollar procesos de diferente índole dentro
de la organización (incluida la internacionalización), debe estar en
la capacidad de adelantar una administración financiera eficiente,
indispensable para la generación de valor en la empresa. El texto
inicia con una explicación de lo que se entiende por competencias
genéricas, específicas y financieras, e identifica las variables que
permiten que los estudiantes de esta disciplina obtengan los mejores resultados en las Pruebas
Saber,
que dan cuenta de la adquisición de las competencias en mención.
El lector encontrará en este libro temáticas propias de las tendencias investigativas en áreas
como
la
innovación y la internacionalización; así mismo, hallará espacios en los que es posible generar
nuevas propuestas que le brinden a la academia y al país herramientas de análisis sobre el
quehacer
y el
estado de la profesión y
el sector externo. Esta es una invitación para continuar trabajando en la investigación y en la
generación de espacios para su comunicación, objetivos con los que está comprometida la
Editorial
Uniagustiniana.
Claudia Paola García-Castiblanco
Editora
Referencia: Colciencias. (2018). Estadísticas generales grupos e investigadores.
Recuperado
de http://www.colciencias.gov.co/la-ciencia-en-cifras/estadisticasgenerales
Capitulo 1
Relación entre la
internacionalización
y la innovación en las
empresas exportadoras
del Área Metropolitana
de Bucaramanga
Relationship between Internationalization
and Innovation in Exporting Companies
in Bucaramanga Metropolitan Area
Resumen
El proyecto del cual se derivó el presente documento se orientó a conocer características
del
proceso de innovación en las empresas exportadoras del Área Metropolitana de Bucaramanga
(amb),
así como de sus procesos de internacionalización.
Es de aclarar que se seleccionaron las variables del
estudio de acuerdo con el manual de Oslo. Así, en
el caso de la innovación se analizó a partir de las
modalidades: de proceso, de producto, de marketing y organizacional. Por otra parte, la
investigación se enmarca dentro de un enfoque cuantitativo
descriptivo de corte transversal, en un período de
diez años. Para su elaboración, se seleccionó una
muestra de 70 empresas manufactureras exportadoras del amb. Como resultado, se encontró
que,
aunque existe innovación en todas las modalidades,
se presenta una tendencia a la disminución en el
periodo de estudio (2006-2015). No obstante, estas
innovaciones solo tienen alcance local y al interior
de la empresa. No generan impacto en los procesos de internacionalización ya que no se
presentan
aumentos significativos en las exportaciones. Se
puede agregar que no se presentan cambios en la
baja diversificación de mercados ni en la concentración de las exportaciones a mercados
naturales
o psicológicamente cercanos.
Palabras clave: innovación empresarial, internacionalización, innovación e
internacionalización, empresas exportadoras, Bucaramanga.
Abstract
The project that gave rise to this chapter was
aimed at identifying characteristics of innovative
processes in the exporting companies of Bucaramanga Metropolitan Area (bma), as well as
their
internationalization processes. It should be noted
that the study variables were selected according
to the Oslo Manual. Thus, innovation was analyzed
from different modalities: process, product, marketing, and organization. This research
was framed
within a descriptive quantitative cross-sectional
approach over a period of ten years. A sample of
70 exporting manufacturing companies from the
bma was selected. As a result, despite innovation
was evidenced in all modalities, a decreasing trend
was also evident during the study period (2006-
2015). These innovations are, however, only local
and within the company and they do not impact
internationalization processes since there are no
significant increases in exports. It can be added
that there are no changes in the low diversification
of markets or in the concentration of exports to
natural or psychologically close markets.
Keywords: Business innovation, internationalization, innovation and
internationalization, exporting companies, Bucaramanga..
Sobre los autores | About the authors
Edgar Javier Gómez Parada
[edgar.gomez01@ustabuca.edu.co]Ingeniero Químico, Universidad Industrial de Santander.
Magíster en Evaluación de
la Educación, Universidad Santo Tomás. Docente Universidad Santo Tomás, Bucaramanga,
Colombia.
Henry Fernández Pinto
[henry.fernandez@upb.edu.co]
Economista, Universidad Industrial de Santander. Magíster en Cooperación Internacional y
Desarrollo, Universidad de Cantabria, España. PhD. en Administración,
Universidad Nacional del Rosario, Argentina. Docente Universidad Pontificia Bolivariana,
Bucaramanga, Colombia.
Cómo citar en APA / How to cite in APA
Gómez-Parada, E. J. y Pinto-Fernández, H. (2020). Relación entre la internacionalización
y la innovación en las empresas exportadoras del Área Metropolitana de Bucaramanga. En
García-Castiblanco, C. P. (ed.). Ensayos de investigación en comercio
y finanzas (pp. 13-57). Bogotá: Editorial Uniagustiniana.
Introducción
Dentro de los estudios realizados a las empresas exportadoras
del Área Metropolitana de Bucaramanga (amb) no se ha evaluado
el factor de innovación y no se ha establecido una relación entre
este factor con el proceso exportador o de internacionalización.
Tampoco, se ha logrado una caracterización de los recursos y de
las capacidades que poseen las empresas en función de su estrategia exportadora. Así lo
comprobó el estudio realizado por Gómez
y González (2011) sobre el proceso de internacionalización de las
empresas del amb. Ellos determinaron que el 71% de las empresas
hacen investigación y desarrollo de productos como mecanismo de
preparación a las exportaciones. A pesar de esto, el impacto de dichas actividades no se
ve reflejado en un aumento de competitividad de los productos o de las empresas en
mercados externos. Esto
supone que investigación y desarrollo se pueden ver reflejados en
los procesos internos de la empresa.
Siempre se parte del argumento hipotético de que las empresas exportadoras deben tener
una gestión permanente hacia la innovación, por tanto, disponen de capacidades y
recursos en función de
la incorporación en el componente productivo, con el fin de contribuir al
posicionamiento de bienes y servicios en los mercados
externos. Con esto en mente, la investigación de la cual se deriva el
presente escrito se planteó como objetivo desarrollar un análisis de
la relación existente entre los procesos de innovación e internacionalización de las
empresas. Entonces, el propósito de esta investigación es contribuir a un mejor
entendimiento de los factores y de
las características presentes en el proceso de innovación asociada a
la cadena de valor en la producción de bienes y servicios en empresas manufactureras
exportadoras y asociar dichas características al
proceso de exportación de las empresas del amb.
Marco teórico
La innovación es un componente cada vez más ligado a la competitividad actual de las
empresas y representa la respuesta de la
estructura empresarial frente a los rápidos cambios del entorno
(Mathison, Gándara, Primera y García, 2007). Es decir que la innovación es un fenómeno
complejo de estudio y su abordaje se
ha realizado desde diversos niveles: en el nivel micro, son las empresas las que
dinamizan procesos de innovación, que incluyen
la administración, gestión y generación del conocimiento, a través de la puesta en
marcha de capacidades dinámicas, recursos y
de las interacciones derivadas de todas estas variables (Crossan
y Apaydin, 2010). Desde un punto de vista macro, la innovación
es un factor de producción adicional que genera externalidades
que afectan al resto de la estructura productiva. Gracias a este
factor, que proviene de las capacidades de la institucionalidad y
del ambiente en el que se localizan las empresas, se impulsan el
crecimiento, el desarrollo. Es necesario recalcar que los enfoques
mico y macro no son mutualmente excluyentes, sino que se complementan dados los
mecanismos de trasmisión desde el nivel
base (agentes individuales, organizaciones) hacia resultados más
visibles (Crossan y Apaydin, 2010).
Por su parte, Adam Smith propone que la innovación está presente
en los cambios que genera el trabajador cuando busca de mejorar
la forma de llevar a cabo una actividad productiva. Así, el ahorro
de tiempo y de recursos se percibe en la generación de nueva maquinaria, nuevas
herramientas, nuevos procedimientos (Benavides, 2004).
No así, la escuela neoclásica que considera que las empresas cuentan con una función de
producción común y toman sus decisiones sobre la implementación de tecnología bajo
condiciones de
información perfecta, con el fin de obtener mayores beneficios.
Para Miller y Morris (1999), se debe contemplar la innovación como
una combinación específica de factores; tal combinación actúa de
acuerdo con las posibilidades que encuentran y al conocimiento tecnológico disponible
(como se cita en Ortiz y Pedroza, 2006). De
esta manera, al observar las condiciones de mercado, la capacidad
de compra y las barreras institucionales, las empresas podrían tomar sus opciones para
decidir en el campo tecnológico. Para este
enfoque, la principal causa de la innovación proviene de los factores de producción como
el trabajo y el capital que utiliza la empresa
para generar bienes y servicios (Rodríguez, Arias y Minguela, 2002).
Tenemos en cuenta que para Schumpeter, la innovación se entiende como: la introducción
en el mercado de una nueva invención
con fines productivos, con potencial de influir en una industria particular y de ser
introducida con relativo éxito en un mercado. Es
decir, es producto de la acción del empresariado en función capitalista de la
producción, ya que busca combinar apropiadamente los
factores de producción a fin de obtener una invención, un artículo
novedoso que sea de uso en el mercado y con el interés de mejorar
las ganancias. El autor afirma que las innovaciones de tipo radical
son el motor del crecimiento económico, ya que son capaces de
cambiar de manera significativa la estructura productiva de una industria, de un mercado
en un periodo de tiempo específico (como
se cita en Cáceres y Aceytuno, 2008). Según Suárez (2004), Schumpeter declara que otro
tipo de innovaciones menores o incrementales no logran explicar las grandes
transformaciones sociales tales
como la nueva organización interna de una empresa o los pequeños
inventos intermedios.
Como sabemos, el planteamiento de Schumpeter sobre la innovación como parte activa en el
crecimiento y en el bienestar de los
países generó múltiples líneas de estudio enfocadas principalmente
en la actuación de las organizaciones. Una de estas líneas, específicamente la de Wang y
Ahmed (2004), ve el proceso de innovación
como una capacidad dinámica. Ellos, definen capacidad como la
habilidad de crear modificar o recombinar continua y sistemáticamente las rutinas
operacionales, en pro de obtener mayores ganancias para la empresa y los accionistas
(Winter, 2003; Lawson y
Samson, 2001).
Schumpeter definió la innovación como la formulación de una
nueva función de producción. Así, incluye tanto la introducción de
nuevas mercancías, como la inclusión de nuevas formas de organización. El autor afirmó
que los procesos de innovación han estado
presentes a lo largo de la historia del capitalismo, por eso se convierte en un factor
interno determinante del sistema que ha permitido su expansión y evolución. Asimismo,
Schumpeter, citado por
Trillo y Pedraza (2007), explicó la innovación como un cambio en
el mercado tras introducir un nuevo bien al incorporar un nuevo
método de producción, al introducir una nueva manera de ofrecer
comercialmente un nuevo producto o al abrir un nuevo mercado en
un territorio concreto.
Por otra parte, Solow —citado por Manjarrés y Vega (2012)— concluyó que el crecimiento a
largo plazo de la economía estadounidense
no se explicaba satisfactoriamente por medio del incremento de
los factores trabajo y capital, sino que existía un factor responsable
de la mayor parte del crecimiento: el cambio tecnológico. Así que
consideró la tecnología como un elemento exógeno a la empresa y
de naturaleza pública.
Acorde con Penrose (1959), existen vínculos causales entre los recursos y las
oportunidades de generación de crecimiento, de participación en el mercado y de la
innovación. La experiencia con
cierto tipo de producto o mercancía capacita a la empresa para
manejar otros. De esta manera, se convierte en un catalizador de
oportunidades futuras para las empresas; mejora su capacidad para
diversificar y para hacer frente a nuevos retos en los mercados (Kor
y Mahoney, 2004).
En la misma línea de estudio, que entiende el papel de la innovación como recurso
estratégico dentro de las empresas, Wernerfelt
(1989) menciona que la innovación es un proceso que se constituye por los recursos
valiosos, raros, inimitables e insustituibles que
amplían o limitan los mercados en los que las organizaciones logran
competir; de este modo definen el nivel de rentabilidad que las organizaciones esperan.
Sin embargo, tener este tipo de recursos no siempre es suficiente para lograr la ventaja
competitiva. Así se establece que las firmas que no desarrollan nuevas líneas de
negocios
basados en la innovación, deben esperar menores ganancias.
Penrose (1959) también argumenta que la esencia de la visión basada en los recursos se
fundamenta en la idea de que los recursos
y las capacidades constituyen la ventaja competitiva de las empresas. En otras palabras,
las empresas no crean valor dada la mera
transformación que hacen estas de los recursos, sino a través de la
innovación; es decir, según la forma en que manejan y combinan
los recursos (Kor y Mahoney, 2004). Como se puede inferir, dentro
de las empresas se deben desarrollar diferentes capacidades en
pro de desarrollar la ventaja competitiva derivada de un uso intensivo de la innovación.
Sobre el particular, Bowman y Ambrosini
(2003) determinan que el proceso de creación y desarrollo de las
capacidades dinámicas abarca cuatro procesos: la creación de conocimiento, la absorción
del conocimiento, la integración de conocimiento y la reconfiguración.
Entonces, la creación de conocimiento: es la interpretación de información que permite
la creación de nuevos productos. El proceso de creación de conocimiento organizativo
requiere que se tejan
entre los individuos redes de colaboración y de difusión de experiencias (Nonaka y
Takeuchi, 1996). Por su parte, la absorción de conocimiento: es la habilidad de los
miembros de la organización que
les permite utilizar el conocimiento venido del exterior y ponerlo
en marcha en un proceso interno de la empresa (Cohen y Levinthal,
2000; Zahra y George, 2002).
A continuación, está la integración de conocimiento, que se refiere a los procedimientos
de tipo colectivo que se llevan a cabo
dentro de la organización para ejecutar labores de interacción y
la colaboración en relación a la información latente en los empleados. La gestión del
conocimiento y la disposición de las rutinas organizativas son determinantes de este
componente (Bravo,
2010; Bravo y Herrera, 2009). Dicho de otro modo, la gestión de
conocimiento se refiere a la administración del capital humano y sus relaciones internas
gracias a la implantación de normas explicitas. Entre tanto, las rutinas organizativas
son procedimientos
que estructuran el trabajo sistemático, reduciendo la necesidad
de comunicar conocimiento explicito entre los miembros de la
organización (Grant, 1996).
Por último, la reconfiguración del conocimiento se relaciona con
la habilidad de la organización para transformar y recombinar las
actividades organizativas como las formas de creación de valor. En
este proceso, se ve involucrada la acción de la gerencia en el valor
del liderazgo soportado bajo una sólida cultura organizacional (Lavie, 2006). Esta
habilidad es necesaria en los contextos competitivos ya que permite flexibilizar la
estructura de la organización en
pro de generar planes de negocios con mayor valor agregado (Amit
y Schomaker, 1993).
Otro enfoque sobre la innovación hace énfasis en que la adquisición
y aplicación de nuevos conocimientos son la base del desarrollo
empresarial; el proceso de innovación y el aprendizaje son caras
de la misma moneda con relación al desarrollo (Cohen y Levinthal
2000; Vega y Gutiérrez, 2005). La innovación no solo encierra el
desarrollo de nuevos productos, sino que la misma desarrolla habilidades dentro de la
empresa para interiorizar y aplicar la información existente externamente. Como se puede
inferir, las empresas
desarrollan tres habilidades iníciales en el proceso innovador: la
valoración de un nuevo conocimiento, su asimilación y su aplicación para fines
comerciales (Van den Bosch, Volberda y De Boer,
1999). En este planteamiento, la trayectoria actual de la empresa
(que comprende el conjunto de sus decisiones y recursos y capacidades presentes)
determina su trayectoria futura. No obstante, los
procesos del desarrollo innovador se deben materializar a través de
acciones concretas dentro de las organizaciones. La forma expresa
y efectiva es mediante las observaciones de los gastos en inversión
y desarrollo que se generan.
Otra perspectiva es la de Pizarro, Real y De la Rosa (2011) quienes afirmaron que la
innovación empresarial es la tendencia de las firmas a apoyar y comprometerse con las
ideas novedosas, la
experimentación y los procesos creativos que puedan permitir la
creación de nuevos productos, servicios o procesos tecnológicos.
Igualmente, hablaron de la existencia de una cultura emprendedora en las firmas, capaz
de propiciar un lugar de trabajo dinámico,
que incentive la creatividad. Afirmaron que todas las firmas con
cultura emprendedora se sostienen por el compromiso hacia la experimentación y la
innovación.
El manual de Oslo (ocde y Eurostat, 2005) distingue cuatro tipos
de innovación: a) de producto; b) de proceso; c) de mercadotecnia
y d) de organización. Para ampliar podemos decir que la innovación
de producto corresponde a la introducción de un bien o servicio
nuevo o mejorado al mercado. Esto comprende la mejora en sus características,
componentes, materiales u otras características funcionales. Por lo tanto, supone el
desarrollo de una nueva utilización
de un producto cuyas especificaciones técnicas se han modificado,
sea en los materiales, componentes u otras características que hacen que el producto
tenga un mejor rendimiento, otro uso o sea
completamente nuevo en el mercado.
Asimismo, el manual internacional considera que una innovación
de proceso es la introducción de un nuevo o mejorado proceso de
producción o de distribución, lo cual implica cambios ostensibles
en las técnicas, los materiales y programas informáticos. Las innovaciones de proceso
incluyen equipos, programas, nuevas formas
de logística de la empresa, así como técnicas para abastecimiento
de insumos, programas de compras, contabilidad y mantenimiento.
En suma, tiene como finalidad disminuir costos, mejorar la calidad,
producir nuevos productos o mejorarlos.
Respecto a la innovación de mercadotecnia es entendida como la
aplicación de un nuevo método de comercialización que cambie
significativamente el diseño o el envasado de un producto, su posicionamiento, su
promoción o su tarifación. Fundamentalmente,
una innovación de mercadotecnia se distingue porque introduce
un método de comercialización que la empresa no utilizaba antes, conlleva una ruptura
fundamental con relación a los métodos y estrategias ya practicados por la empresa. Son
considerados como
tal: las reformas al diseño del producto, las modificaciones del envasado, o en otros
aspectos como el sabor, pero eminentemente
significan nuevos métodos de comercialización, canales de venta
y publicidad. Las innovaciones de marketing buscan satisfacer de
mejor forma las necesidades de los consumidores, abrir nuevos
mercados o posicionar nuevamente un producto en un contexto
mudable que permita alcanzar una ventaja competitiva.
Finalmente, encontramos la innovación de tipo organizacional,
definida como la introducción de un nuevo método organizativo
en las prácticas, la forma de gestión, la organización del lugar de
trabajo y las relaciones exteriores de la empresa. Esta estrategia
se distingue porque la empresa no la había usado anteriormente; obviamente, comporta una
gran decisión de la alta dirección.
La innovación de este tipo involucra prácticas empresariales con
nuevos métodos para organizar las rutinas, los procedimientos de
gestión de los trabajos. De esta manera, incluye nuevas prácticas
para mejorar el aprendizaje, la distribución del conocimiento en la
empresa, así como prácticas de formación de personal, sistemas
de educación. Igualmente, incorpora la introducción de sistemas
de gestión de operaciones, de calidad, métodos de atribución de
responsabilidades y del poder de decisión entre los empleados en
las unidades organizativas.
Antecedentes
Un importante análisis sobre la relación entre las exportaciones y
la innovación fue realizado por Hirsch y Bijaoui (1985), en el cual se
considera la relación entre el gasto en I + D y el comportamiento
de las exportaciones de las empresas israelíes. Los autores afirman
que la innovación otorga cierto poder de monopolio. Es decir que
las empresas que realizan actividades de investigación y desarrollo tienen preferencia
en los mercados nacionales y extranjeros,
de manera opuesta a lo que sucede con las que no realizan dichas actividades. Otro de
sus hallazgos es que las empresas innovadoras
en un sector tenían una mayor tasa de exportación, frene a la media
del sector. Por otro lado, encontraron que el gasto en I + D fue significativo para la
explicación del ritmo de las exportaciones.
A su vez, Cassiman, Golovko y Martínez-Ros (2010) sugieren que la
innovación de productos es un factor importante para la exportación, a tal punto que
aquellas empresas que logran una innovación
de producto tienen alta tendencia a la exportación; según constataron, no sucede lo
mismo con las innovaciones de proceso. Además,
explican que las empresas que realizan innovaciones tienen mayor
productividad, como resultado se les facilitan los procesos de exportación porque tienen
márgenes más altos de rentabilidad. De
esta manera pueden invertir en las fases de inicio en la exportación.
Del mismo modo, Bernard y Jensen (2004) encuentran que, para
una amplia muestra de las industrias norteamericanas, la introducción de nuevos
productos aumenta significativamente la probabilidad de exportar. No obstante, hay
trabajos contradictorios. Como
ejemplos tenemos los de Lefebvre, Lefebvre, y Bourgault (1998) y
Becchetti y Rossi (2000). Los análisis coinciden al afirmar que la intensidad del gasto
en I + D no tiene impacto en el incremento de las
exportaciones. Sin embargo, otros indicadores de innovación tales
como el porcentaje de empleados con formación técnica y científica o la presencia de
colaboraciones en I + D con socios externos
tienen efectos positivos. Esto sugiere que la intensidad de I + D podría ser engañosa y
que tal vez una medida para la innovación debe
incorporar otros elementos.
A su vez, Kafouros, Buckley, Sharp y Wang (2008) hacen una revisión
de literatura del campo y encuentran contraposiciones respecto al
papel de la innovación en el desempeño de las empresas. A partir
de esa premisa, desarrollan una investigación que corrobora estos
aspectos. Si bien es cierto, las empresas que se internacionalizan
mejoran la capacidad de innovación, pero para obtener mayores
beneficios deben estar en fases avanzadas de innovación, por encima del promedio
empresarial. Es decir que no todas las empresas son capaces de beneficiarse de los
esfuerzos de la innovación, para
ello es necesario implementar una buena diversificación de mercados para que puedan
aprovechar los nuevos desarrollos en productos y procesos. Debemos señalar que para
realizar innovaciones
las empresas deben efectuar inversiones y esforzarse para obtener
nuevos y mejores productos y procesos a la hora de trasladarse al
mercado. Además, hay que agregar que los beneficios económicos
se obtienen en cuanto mayor sea la internacionalización de la empresa. En otras
palabras, la presencia en más mercados garantiza
un mayor beneficio. El logro más importante del estudio fue el uso
de la técnica de panel para 84 empresas fabricantes británicas, con
datos disponibles a lo largo de catorce años.
Otro aspecto importante del estudio de Kafouros et al. es que su
postura contraría lo que dicen estudios anteriores. Según los demás autores, el tamaño
de las empresas influye en los resultados
de la innovación: a mayor tamaño de la empresa mayor aprovechamiento de los resultados
de innovación. No obstante, Kafouros et al.
encuentran que, en casi todos los casos, las empresas grandes son
las que tienen mayor nivel de internacionalización, pero es realmente este factor el que
tienen mayor incidencia en el aprovechamiento de los resultados de la
innovación.
Por otro lado, un estudio llevado a cabo (Oura, Zilber y Lopes, 2016)
mediante una encuesta a 112 empresas pymes industriales de Brasil
(a través de la escala Likert) y cuyo enfoque es correlacional entre la
experiencia exportadora, la capacidad de innovación y el desempeño exportador, encontró
que, si bien hay una relación significativa
entre la capacidad de innovación y la exportación, la experiencia
internacional tiene un mayor peso. Para los expertos, la capacidad
de innovación se define como capacidad de: investigación y desarrollo, fabricación,
comercialización, aprendizaje, explotación de
recursos y capacidad organizacional y estratégica.
En el contexto colombiano una investigación desarrollada por Escandón y Hurtado (2014)
sobre los determinantes de la orientación exportadora en las pymes exportadoras incluyó
la variable innovación. Mediante una encuesta a 287 empresas exportadoras colombianas,
ubicadas en cinco de las principales ciudades, se preguntó
sobre la incidencia de la innovación, las redes, el emprendimiento,
los factores internos y externos de las empresas y sobre la orientación al mercado en
procesos de internacionalización. La ponderación de estos datos determinó que el 25,2%
de las empresas
consideran importante la innovación como factor en las exportaciones. En dicho estudio,
el factor predominante fue la experiencia emprendedora.
Metodología
El presente estudio es de corte cuantitativo, de tipo descriptivo y
el análisis se ejecutó a través de un método de análisis inductivo
y con la técnica de muestreo aleatorio simple. Para elaborarlo se
encuestó directamente a las empresas manufactureras exportadoras ubicadas en el amb que
se hallan formalmente constituidas
y registradas en la Cámara de Comercio de Bucaramanga. Así que
se delimitó el número de empresas que conforman la población
de esta investigación a 70, de las 170 registradas en el año 2015.
Como nota, se debe tener en cuenta que la mayoría de empresas
exportadoras del departamento de Santander (aproximadamente 98%, exceptuando las de
petróleo crudo) se ubican en el amb
que incluye los municipios de Bucaramanga, Floridablanca, Girón
y Piedecuesta.
Consecuentemente, para la elaboración de la encuesta se hizo una
operacionalización (tabla 1) de variables y se tomaron como ejes
las siguientes características: del proceso de internacionalización, de la innovación de
productos, de procesos, de la innovación
organizacional, de marketing; además de los objetivos de la innovación, las actividades
en función de la innovación, las fuentes
de información para la innovación y las características del recurso humano.
Tabla 1.
Operacionalización de variables
| variables | Indicador | Ítem | Características del proceso de internacionalización | Año de inicio de exportaciones |
|---|---|---|
| Rangos de 10 años, comenzando desde 1970. En total 5 rangos. | ||
| Continuidad exportadora | ||
| Para los últimos 10 años del estudio. Comienza desde 2006, hasta 2015 | ||
| Diversificación de mercados | ||
| Número de países a los que ha exportado. 3 rangos: 1 a 5 6 a 10 Más de 10 | ||
| Destino de las exportaciones | ||
| Norteamérica | ||
| Latinoamérica | ||
| Unión Europea | ||
| Resto de Europa | ||
| África | ||
| Oriente Medio | ||
| Lejano Oriente | ||
| Otros | ||
| Innovación de productos | ||
| Tipos de Innovación de producto | ||
| Número de productos totalmente nuevos por año entre 2006-2015. | ||
| Número de productos anteriores con modificaciones entre 2006-2015. | ||
| ¿La innovación de producto o servicio desarrollado por la empresa se ha introducido al mercado exterior? | ||
| Innovación de producto e internacionalización | ||
| Innovación de procesos | ||
| Tipos de Innovación de procesos | ||
| Número de nuevo o mejoramiento en método de producción de bienes o servicios para cada año entre 2006-2015 | ||
| Un nuevo o mejoramiento en método de logística, entrega o distribución para cada año entre 2006-2015 | ||
| Un nuevo soporte de mantenimiento u operaciones de compras, contabilidad o informática para cada año entre 2006-2015 | ||
| Innovación de procesos | ||
| Innovación de proceso e internacionalización | ||
| ¿La innovación de proceso desarrollado por la empresa se ha introducido al mercado exterior? | ||
| Innovación organizacional | ||
| Tipos de Innovación organizacional | ||
| Número de nuevas prácticas administrativas y organización de procesos, reingeniería de procesos, gestión de calidad por año entre 2006-2015. | ||
| Número de nuevos métodos para la toma de decisiones y organización de responsabilidades por año entre 2006-2015. | ||
| Número de nuevas alianzas estratégicas o relaciones externas con otras empresas por año entre 2006-2015. | ||
| Número de nuevas alianzas estratégicas o relaciones externas con otras empresas por año entre 2006-2015. | ||
| Número de nuevos métodos de subcontratación por año entre 2006 - 201.5 | ||
| Innovación organizacional e internacionalización | ||
| ¿La innovación organizacional desarrollada por la empresa ha contribuido a las ventas y a los procesos de internacionalización? | ||
| Innovación de marketing | ||
| Tipos de innovación de marketing | ||
| Número de cambios significativos en el diseño, envase y embalaje de productos por año entre 2006-2015 | ||
| Número de nuevas formas de promoción del producto: imagen de marca, nuevos medios publicitarios, nuevas formas de contacto con los clientes por año entre 2006-2015 | ||
| Número de Sistemas de descuentos o de promociones por año entre 2006-2015 | ||
| ¿La innovación de marketing desarrollada por la empresa ha contribuido a las ventas y a los procesos de internacionalización? | ||
| Innovación de marketing e internacionalización |
| Respecto a las exportaciones de Santander, se complementó el análisis con información proveniente del Departamento Nacional de Estadísticas (dane), tomada directamente de bases de datos como WiserTrade. |
Fuente: elaboración propia.
Hallazgos
Características de las exportaciones de Santander
En general, entre 2005 y 2015, las exportaciones de Santander aumentaron en valor
cercano a
173%, con algunos altibajos en el 2010
y el 2014. Como se puede constatar en la figura 1, se alcanzó un valor
aproximado de 827 millones de dólares en el 2015.
Hay que anotar que se tuvo en cuenta la clasificación propuesta por Lall (2000) y presentada por Durán y Álvarez (2011) en la que clasifican los productos por bienes primarios, manufacturas basadas en recursos naturales, manufacturas de baja tecnología, manufacturas de mediana tecnología y manufacturas de alta tecnología. De esta manera, en la figura 2 se presentan las exportaciones de Santander por nivel tecnológico. Para la clasificación se tienen en cuenta los capítulos del arancel de aduanas y se toman valores de las exportaciones del departamento en el año 2015.
Adicionalmente, en la figura 2 también se verifica que las principales exportaciones están representadas por bienes primarios que incluyen petróleo, carbón, café, minerales, frutas frescas, carnes, entre otros. Estos bienes primarios representan el 85% de las exportaciones del departamento en el 2015 y el comportamiento es muy similar al de las exportaciones totales, es decir que tuvieron un alto crecimiento entre el 2005 y el 2015, con descensos en los años 2010 y 2015, como se muestra en la figura 3.
Las exportaciones de manufacturas basadas en recursos naturales que incluyen productos como preparaciones de frutas y vegetales, aceites y grasas, cemento, vidrio, productos de piedras preciosas, productos de madera, metales básicos, representan el 5% de las exportaciones del departamento de Santander y presentaron alta disminución entre el 2005-2015 (figura 4).
Por su parte, podemos observar que las manufacturas de baja tecnología
correspondieron
en el 2015 al 3% de las exportaciones de
Santander representadas en productos de calzado, confecciones,
manufacturas de cuero, juguetes, productos plásticos, cerámica,
productos básicos de metal, entre otros. En este ítem se presentó
un comportamiento con varias fluctuaciones en el periodo 2005-
2015 y con leve disminución entre esos años (figura 5).
Las exportaciones de mediana tecnología (productos como productos químicos, fibras
sintéticas, autopartes, maquinaria, aparatos
eléctricos entre otros) aportaron el 3% para el 2015. En la figura 6,
se comprueba que la exportación de esta clase presentó tendencia
al aumento entre los años 2005 y 2015.
En lo que respecta a las manufacturas de alta tecnología (productos farmacéuticos, electrónicos, ópticos y de precisión entre otros) representaron el 2% del total de las exportaciones del 2015. La figura 7 muestra el elevado crecimiento que sufrió entre el 2005 y el 2015, fue especialmente significativo entre el 2014 y 2015.
Para complementar este análisis se recurrió a los boletines reportados por la Cámara de Comercio de Bucaramanga entre los años 2006 y 2015. Al analizar esta publicación (figura 8) se aprecia que, a partir del año 2010, el número de empresas disminuyó respecto a los años anteriores. Este hecho está influenciado por los problemas que se dieron con las relaciones diplomáticas y comerciales entre Colombia y Venezuela.
Aspectos generales de las empresas exportadoras del amb
A continuación, se presentan los resultados de la encuesta aplicada a las empresas exportadoras del amb sobre aspectos de internacionalización y de innovación. Se inicia el análisis con la presentación de aspectos generales de la empresa. Posteriormente, se presentarán los resultados sobre la consulta en procesos de internacionalización y después se detallará el proceso de internacionalización.
Tiempo de creación de la empresa
Es necesario anotar que la mayoría (80%) de las empresas exportadoras del Área Metropolitana de Bucaramanga se fundó en un rango promedio mayor a 5 años y menor a 45. Es decir que el restante 20% fue creado después del año 2010. Más aún, el 3% de las compañías tienen más de 45 años, esto hace suponer que son empresas que primero optaron por consolidarse en el mercado interno para luego incursionar en mercados foráneos como se observa en la tabla.
Sumado a lo anterior, recogemos un estudio realizado por el Observatorio de Competitividad de la Cámara de Comercio de Bucaramanga (2013), en el que se determinó que el promedio de edad de las empresas exportadoras de Santander era de catorce años. Este promedio se discriminó de la siguiente manera: 19 años para las pymes, nueve años para las microempresas y 27 años para las grandes empresas.
Inicio de exportación
En cuanto a lo que tiene que ver con la fecha de inicio de las exportaciones, vemos que el 78% de las empresas comenzaron con posterioridad al año 2000. En otras palabras, la mayoría de las empresas exportadoras lleva quince años o menos en los procesos de internacionalización. Dentro de este grupo se destaca que el 33% del total lleva menos de cinco años en los mercados internacionales. Esta información asociada con la edad de creación de la empresa, nos indica que hay un grupo de empresas jóvenes que ha iniciado en edad temprana a internacionalizar sus productos. En la tabla 3 se aprecia, además, la existencia de un 3% de empresas que llevan más de 36 años en procesos de exportación.
Continuidad exportadora
A continuación, en la tabla 4, se revela que más del 80% de las empresas registradas como exportadoras en el amb hicieron exportaciones en los últimos dos años del periodo de estudio (2014, 2015). Hay que tener en cuenta que las empresas incluidas en el estudio fueron tomadas de la base de datos de exportadores de los últimos años, por lo tanto, puede haber empresas que hicieron exportaciones en años anteriores y ya no aparezcan en los registros porque dejaron de exportar. Además, debemos indicar que —con base en el tiempo de creación y el tiempo de exportación— hay empresas que llevan cinco años o menos exportando; a pesar de esto, la continuidad exportadora de las empresas es relativamente baja.
Diversificación de mercados
En la figura 9 se comprueba que la diversificación de mercados de las exportaciones del Área Metropolitana de Bucaramanga es baja. La mayoría de las firmas exportan a cinco o menos de países; tan solo el 8,3% de empresas exportadoras tienen presencia en seis a diez países.
Destino de las exportaciones
En la figura 10 se ve cuáles son las principales regiones internacionales a las que se exportaron productos del amb: Latinoamérica y Norteamérica. En menor porcentaje las exportaciones fueron a la Unión Europea. Comprobamos, entonces que el 87% de las empresas exportó a mercados psicológicamente cercanos como los latinoamericanos. No obstante, se confirma un porcentaje de exportaciones al mercado norteamericano pese a las amplias diferencias sociales, culturales, económicas y productivas que lo hacen más distante, por tanto, con mayores exigencias y con mayores oportunidades. Con respecto a la Unión Europea es notoria la mínima cantidad de exportaciones y se registra que los porcentajes de exportación al resto del mundo son mucho más bajos o nulos.
Para ser más específicos analicemos, en la figura 11, los principales destinos de exportación del periodo comprendido entre 2006 y 2015. En primer lugar está Brasil, seguido por Estados Unidos, México y Ecuador. Es importante señalar que no se tuvieron en cuenta ni el valor del volumen exportado ni la frecuencia exportadora, solo se tiene en cuenta la realización de exportaciones de las empresas del amb a cada país.
Características de innovación de las empresas exportadoras del amb
Para clasificar las empresas como innovadoras o no, este estudio incluye las cuatro formas de innovación según el manual de Oslo (2005): producto, proceso, organizacional y de marketing en forma amplia. En otras palabras, se establecieron límites en la característica de la innovación, en los alcances de la misma o de registros. Así, se abarcan los mejoramientos que las empresas consideran significativos.
Innovación de producto
La primera forma de innovación que analizaremos es la de productos. Como se puede apreciar en la figura 12, hay una mayor tendencia a realizar modificaciones de los artículos existentes. Es así que estas mejoras, más la producción de productos similares a otros que ya existen en el mercado, se facilita en sectores manufactureros de mediana y baja tecnología. Por su lado, las empresas exportadoras del amb generan en menor proporción innovaciones en productos totalmente nuevos. Si esto es así, se evidencia una tendencia hacia la disminución de innovaciones en todos los tipos de industrias, a lo largo del periodo analizado. A juicio de las empresas, en todos los casos se reportaron más innovaciones en los
primeros años (2006-2009) que en los últimos. Resumiendo, con referencia al promedio del periodo de estudio: el 16% de las firmas realiza innovaciones al generar productos totalmente nuevos. Otro 49% innova a partir de modificaciones a productos antiguos y el 40% restante hace desarrollos similares a productos existentes en el mercado.
Hay que tener en cuenta que las empresas objeto de este estudio innovan por cuenta propia en un 77%; el 17% lo hace en asocio con otras empresas o instituciones y solo en contadas ocasiones las innovaciones son realizadas por otras empresas o instituciones mediante contratación o alianzas. En la figura 13 se registra que las innovaciones de producto (como mejoramientos de productos existentes) han servido para los procesos de exportación en la mayoría de las empresas (90%). En los otros casos, las innovaciones de producto no se han introducido en los mercados internacionales.
Innovación de procesos
Respecto a la innovación de procesos (figura 14), el 81,4% de las empresas exportadoras del amb manifiesta haber realizado algún tipo de innovación. Se destaca la constancia al generar, cada año, innovaciones en cuanto a nuevos y mejores métodos de producción de bienes y servicios. Asimismo, crean nuevos métodos de logística, distribución y soporte de mantenimiento. En todo caso, hay un predominio de la innovación en métodos de producción para los primeros años del periodo de estudio (2012-2014) y la tendencia es priorizar las mejoras en los métodos logísticos. Al tomar como referencia el promedio del periodo de estudio (diez años, entre 2006 y 2015), se puede apreciar que el 21% de las empresas exportadoras hicieron innovaciones o mejoramientos en los métodos de producción. 17% crea novedades en los métodos logísticos y el 14% remanente innova en procesos administrativos como compras o contabilidad. También se observa que entre los años 2009 y 2011, las empresas exportadoras del amb presentaron mayor intensidad innovadora de procesos.
Por su parte, la figura 15 nos indica que la innovación en el proceso
fue novedosa para el mercado general en un 53% de las empresas
exportadoras. Al contrario, para el 47% el alcance de la innovación
fue a nivel empresarial.
Otro dato de interés lo presenta la figura 16. En ella se registra que
para las empresas exportadoras del amb las innovaciones de proceso desarrolladas han
servido para el ingreso de los productos a los
mercados internacionales.
Objetivos de la innovación en procesos y productos
Según la valoración dada por las empresas exportadoras del amb, frente a los objetivos que se buscan con las innovaciones de proceso y de producto, se destaca que el enfoque más efectivo ha sido la ampliación de la gama de bienes y servicios. Tal afirmación se apoya en la propensión a desarrollar, principalmente, mejoramientos en productos existentes e imprimir novedades a productos similares a otros que ofrece el mercado. Lo siguen en importancia, las mejoras en la calidad, el ingreso a nuevos mercados y el incremento de la participación en los mercados actuales. Ahora bien, en menor grado, están la reducción de costos y la reducción del impacto ambiental. Esta omisión se debe a un menor interés en desarrollar innovaciones en los procesos, que en el producto. No es prioridad para los empresarios exportadores desarrollar nuevos productos que impacten en los mercados internacionales (figura 17).
Innovación organizacional
En la figura 18 se dilucida la tendencia del desarrollo de innovación organizacional
de las empresas del amb. Vemos que, en opinión
de las firmas, las innovaciones organizacionales han tenido las siguientes
características:
• Generación de nuevas prácticas administrativas y de organización de procesos en
cuanto a reingeniería y gestión de calidad:
en promedio, el 30% de las empresas se renovó en estos aspectos. Además, dentro del
periodo de estudio, el 2010 fue el año
en que más se innovó. Así fue para el 42% de las empresas. Por
otro lado, el 2008 se registró como el que menor aporte hizo
en innovación, solo el 18% de las exportadoras lo implementó.En general, menos del
30% de las firmas realiza anualmente
innovaciones de nuevas prácticas administrativas.
• Nuevos métodos para la toma de decisiones: en promedio,
anualmente el 24% de las industrias conciben innovaciones de
este estilo. El rango se establece entre el 32% y el 17%.
• Nuevas alianzas estratégicas. Al promediar anualmente, se
constata que hay innovación en un 12%. El año en que más realizaron innovaciones fue
el 2006, con 24%.
• Nuevos métodos de subcontratación. Las empresas exportadoras del amb muy poco
innovan: en promedio el 8% de las empresas lo hace. Subrayamos que el punto más alto
se alcanzó en
el 2014 con un 17% de las empresas.
Comparativamente, las empresas crean más innovación en nuevas
prácticas administrativas y menos en nuevos métodos de subcontratación. Se ve un
bajo nivel frente al reto de nuevas alianzas o
relaciones externas, aspectos que son necesarios para acelerar los
procesos de internacionalización y en algunos casos para favorecer
la innovación de otros tipos.
A la pregunta sobre el grado en que la innovación organizacional ha influido en las exportaciones (figura 19), los empresarios sostienen que, aunque, las innovaciones organizacionales son bajas, tienen influencian sobre las exportaciones. Así, el 84% de los encuestados valora dicha influencia entre muy alta, alta y media. Es decir que los cambios en los esquemas organizacionales han favorecido las exportaciones a su juicio. Esto también indica que se debe continuar con procesos de innovación que generen ambientes favorables para la internacionalización. Como consecuencia, esta influencia será más marcada en cuanto se eleve el nivel de innovación mediante alianzas estratégicas externas, preferiblemente con empresas y organizaciones extranjeras.
Innovación de marketing
En lo que tiene que ver con innovación de marketing, las empresas exportadoras del amb se orientan más hacia los sistemas de descuentos, promociones y cambios significativos en la presentación del producto (en el diseño, el envase y el embalaje). Otro punto fuerte es la innovación en manejo de imagen y marca del producto. Sin embargo, hay menor relevancia en los métodos de distribución del producto. Como se ve en la figura 20, entre el 2010 y el 2013 se presentaron mayores innovaciones, con un breve descenso, que aumentaron en los dos últimos años; especialmente en los sistemas de descuentos y promociones.
A continuación, en la figura 21, se traza la relación entre los procesos de innovación en el marketing con las exportaciones. Como se ve, la opinión de los empresarios es que la influencia de las innovaciones en marketing tiene una importancia alta y media (93%) sobre las exportaciones. Ningún empresario considera que la influencia sea muy alta. Si se contrasta esta opinión con el nivel real de innovación, se puede interpretar que más intención que efecto. Consecuentemente, debería haber un mayor esfuerzo para implementar nuevos métodos de distribución del producto —sobre todo para la incursión en mercados internacionales—, infortunadamente, el promedio de empresas que hacen innovación en este aspecto es bajo, por lo que se deduce que es una tarea por hacer.
Análisis de resultados
Para establecer una relación entre los procesos de internacionalización y las actividades de innovación en las empresas del Área Metropolitana de Bucaramanga se toma como base el comportamiento expresado en función de la variación de cada una de estas variables en el período 2006-2015. Para la internacionalización se tienen en cuenta el total de exportaciones: las exportaciones por nivel tecnológico, así como el número de empresas exportadoras. Por su parte, para analizar la innovación se toman en consideración las diversas categorías que la constituyen según el manual de Oslo (2005). De esta manera, se distinguen cuatro tipos: a) de producto; b) de proceso; c) de mercadotecnia y d) de organización.
Tabla 5. Relación entre internacionalización e innovación en empresas del AMB
Como queda expresado en la tabla anterior, entre los años 2006
y 2015, las exportaciones del departamento de Santander —pertenecientes en su gran
mayoría al amb—, presentan un crecimiento
del 213,4%. En lo concerniente a las exportaciones de manufactura
de tecnología, se registra que hubo aumento en las manufacturas
de bienes primarios (547,4%). Asimismo, la exportación de manufacturas de mediana
tecnología y de alta tecnología alcanzó un incremento de 44,6y 8873,0%,
respectivamente. En contraste con
lo anterior, se evidencia una disminución en las exportaciones de bienes basados en
recursos naturales (-47,9%), al igual que en la
manufactura de baja tecnología, que llegó hasta un -38,7%. Se hace
la salvedad en cuanto que las exportaciones de mediana tecnología
representaron el 5% y las de alta tecnología el 2% de las exportaciones totales del
departamento en el año 2015. Este menor valor
relativo respecto a los demás hace que las variaciones, especialmente en alta
tecnología, reflejen un valor tan alto.
Se puede inferir, a partir de estas variaciones en las exportaciones,
que se requieren aumentos significativos en innovación especialmente en mediana y
alta tecnología, áreas en las que la incorporación de la innovación es esencial. Por
lo que se puede ver, el
comportamiento de la innovación en las empresas exportadoras
del amb tiende a la disminución en casi todos los tipos y modalidades. Es decir que
no se aprecia una relación directa y significativa
entre la variación de la innovación y la variación de las exportaciones. Esta
deducción, sobre la baja relación entre innovación y
tecnología, se refuerza con otros datos arrojados por el estudio. En
la encuesta se hace patente que el promedio anual de innovaciones
fluctúa así: para el caso de productos nuevos es de 11; para los productos mejorados
es 34. También se demuestra que para los nuevos
métodos de producción el promedio es 15. Finalmente, se observa
que no todas las empresas exportadoras realizaron innovaciones
significativas en el periodo de estudio.
Por su parte, la mayor dinámica se da en la innovación de marketing,
particularmente, en la promoción de productos y sistemas de
descuentos. Este hecho permite inferir que las empresas exportadoras tienden a
asegurar su presencia en los mercados internacionales a través de estrategias de
mercadeo.
Se puede concluir que (como se demuestra en la tabla sobre la
relación entre internacionalización e innovación) estas empresas
realizaron innovaciones de todos los tipos (productos, proceso,
organizacional y marketing, en cada una de sus modalidades). Sin
embargo, la dinámica de estas innovaciones no tiene impacto significativo en las
exportaciones, tal como se refleja en la contradicción de comportamientos entre la
implementación de innovaciones y la
cantidad de exportaciones. Ahora bien, sí se percibe una relación
positiva entre innovación e internacionalización en las empresas
exportadoras del amb. Como vemos, hay aumentos significativos en
las exportaciones de los rubros de manufacturas de mediana y alta
tecnología, aunque solo representan el 7% del total de las exportaciones del
departamento (en el año 2015), necesariamente requieren de la incorporación del
componente
Conclusiones
Después de hacer los análisis pertinentes, se puede afirmar que
las empresas exportadoras de Santander no evidencian impactos
significativos de los procesos de innovación en el componente de
internacionalización. Este déficit se debe a que tienen comportamientos
contradictorios: mientras las exportaciones aumentaron,
las innovaciones disminuyeron. Tampoco hay evidencia de transformaciones fuertes en
la diversificación de mercados y exportaciones hacia mercados más especializados. La
alteración principal
de la que da cuenta esta indagación es que hay una relación positiva
entre innovación. Específicamente, se detecta un aumento de las
exportaciones de alta tecnología entre los años 2006 al 2015.
Hay que destacar que el 45% de las empresas exportadoras fueron creadas después del
año 2000, es decir que son relativamente
jóvenes. Solo el 10% tiene más de 35 años de creación; esto refleja
que el proceso de las empresas para insertarse en los mercados
locales no es tan demorado. Al contrario, el proceso es cada vez
es más acelerado: el 20% de las empresas fue creado después del
año 2010. Se confirma esta conclusión con el hecho de que el 32%
realizó su primera exportación posterior al año 2010. De la misma
manera, la mayor parte de las empresas (el 76%) ha realizado exportaciones desde ese
mismo año. Es decir que el proceso de internacionalización de las empresas del amb
es relativamente joven y se
encuentran en fases iniciales dentro de un proceso de inserción en
mercados externos. Otra característica de la internacionalización se obtiene al
analizar los reportes de la Cámara de Comercio de
Bucaramanga, en las que se aprecia una disminución de 31% en el
número de empresas exportadoras durante el tiempo de estudio
(2006-2015). Este hecho que indica un bajo nivel de permanencia
empresarial en los mercados externos.
Del mismo modo le ocurre al número de mercados a los cuales
exportan las empresas del amb. Para ser más específicos hay que
agregar que el 91% de las firmas exporta en un rango de 1 a 5 mercados, lo que
indica baja diversificación. Sumado a esto, hay que
contar con las características de los destinos. Los datos muestran
que el 87% exporta a mercados cercanos o naturales, en los que
los niveles de exigencia son bajos por las similitudes culturales y
de consumo con las de Colombia. Es de anotar la alta influencia
que tradicionalmente ha tenido el mercado venezolano en las exportaciones de
Santander y los problemas comerciales derivados
de controversias políticas desde el año 2009, que se acentuaron
en años posteriores. Hubo empresas que realizaban exportaciones
solamente a ese mercado y, al cerrarse las fronteras, dejaron de
avanzar en los procesos de internacionalización.
Por su parte, la concentración de las exportaciones a mercados
latinoamericanos es bastante alta, alrededor 87% de las empresas exportan a estos
mercados, que por no ser tan exigentes no
promueven procesos de innovación. En contraste, 45% de las empresas exportan a
Estados Unidos y la Unión Europea considerados mercados exigentes, con elevados
estándares de calidad y alta
competencia. Por tal motivo, la dinámica con estos países demanda
estar en permanente mejoramiento e innovación.
En relación con las características del proceso de innovación en las
empresas exportadoras del amb, se encuentra que ellas realizan
innovaciones de todo tipo (producto, proceso, marketing y organizacional). De
acuerdo con la información suministrada por las
empresas para rango temporal 2006-2015 y contando con el número de innovaciones, se
constata un predominio en cuanto la innovación de productos sobre las demás
modalidades, aunque con tendencia a la disminución en el tiempo analizado. En lo que
respecta a las innovaciones de producto son pocas las modificaciones que
se hacen a los productos antiguos, pero se presentan novedades
respecto a bienes similares en el mercado. Vemos que en casi todos
los tipos de innovación, especialmente en las de producto y proceso, se presentaron
disminuciones entre el 2006-2015. Lo anterior
indica que son pocos y cada vez menores los esfuerzos que hacen
los empresarios para imprimir novedad a los productos, como resultado, no hay
posicionamiento sostenible en los mercados ni nacional ni en el internacional. Es
decir que no son competitivos.
Limitaciones del estudio
Este trabajo no pretende ser concluyente, sino que tiene un enfoque principalmente descriptivo. Debemos decir que hay que tener en cuenta algunos aspectos importantes al momento de hacer la interpretación de la información. Si bien se trató de hacer un seguimiento en un periodo de diez años (2006-2015), la forma de recolección de información fue mediante una encuesta en un único momento (año 2016). Este hecho genera alta incertidumbre respecto a la información entregada por los informantes sobre los primeros años, ya sea por transformaciones naturales en el contexto o cambios en el personal que entrega la información.
Nuevas líneas de estudio
Al finalizar este estudio, se propone avanzar en el establecimiento y estandarización de un instrumento de investigación que pueda ser aplicado anualmente a las empresas para hacer seguimiento al comportamiento de innovación de manera continua. Se puede profundizar en conocer los obstáculos que presentan las empresas tanto para procesos de innovación como para procesos de internacionalización. Se sugiere, además, ampliar el estudio a todas las empresas tanto exportadoras como no exportadoras para tener un panorama más completo de la dinámica regional de innovación desde el punto de vista empresarial.
Referencias
Amit, R. y Schoemaker, P. J. (1993). Strategic assets and organizational rent.
Strategic Management Journal, 14(1), 33-46.
Becchetti, L. y Rossi, S. P. (2000). The positive effect of industrial
district on
the
export performance of Italian firms. Review of Industrial Organization, 16(1),
53-68.
Benavides, O. A. (2004). La innovación tecnológica desde una perspectiva
evolutiva.
Cuadernos de economía, 23(41), 49-70.
Bernard, A. B. y Jensen, J. B. (2004). Why some firms export. Review of
Economics
and Statistics, 86(2), 561-569.
Bowman, C. y Ambrosini, A. (2003). How the resource-based and the dynamic
capability views of the firm inform corporate-level strategy. British Journal
of Management, 14(4), 289-303.
Bravo, E. (2010). Un modelo conceptual de la capacidad de innovación: Buenas
prácticas en el sector servicios (tesis doctoral). Universidad Politécnica de
Cataluña. Cataluña, España.
Bravo, E. y Herrera, L. (2009). Capacidad de innovación y configuración de
recursos
organizativos. Intangible Capital, 5(3), 301-320.
Cáceres, F. R. y Aceytuno, M. T. (2008). La innovación como fuente de
oportunidades
empresariales. Revista de Economía Mundial, 19, 135-156.
Cámara de Comercio de Bucaramanga (2006). Santander exporta. Boletín número
15.
Cámara de Comercio de Bucaramanga (2007). Santander exporta. Boletín número
28.
https://www.camaradirecta.com/temas/documentos%20pdf/Santander_exporta/exporta2007/dic2007.pdf
Cámara de Comercio de Bucaramanga (2008). Santander exporta. Boletín número
37.
https://www.camaradirecta.com/temas/documentos%20pdf/Santander_exporta/exporta2008/expdic2008.pdf
Cámara de Comercio de Bucaramanga (2009). Santander exporta. Boletín número
48. camaradirecta.com/temas/documentos%20pdf/Santander_exporta/
exporta2009/expdic2009.pdf
Cámara de Comercio de Bucaramanga (2010). Santander exporta. Boletín número
59.
https://www.camaradirecta.com/temas/documentos%20pdf/Santander_exporta/exporta2010/expdic2010.pdf
Cámara de Comercio de Bucaramanga (2011). Santander exporta. Boletín número
70.
https://www.camaradirecta.com/temas/documentos%20pdf/Santander_exporta/exporta2011/expodic2011.pdf
Cámara de Comercio de Bucaramanga (2012). Santander exporta. Boletín número
78.
https://www.camaradirecta.com/temas/documentos%20pdf/Santander_exporta/exporta2012/expordic2012.pdf
Cámara de Comercio de Bucaramanga (2013). Santander exporta. Boletín número
85.
https://www.camaradirecta.com/temas/documentos%20pdf/Santander_exporta/exporta2013/expodic2013.pdf
Cámara de Comercio de Bucaramanga (2014). Santander exporta. Boletín número
90.
https://www.camaradirecta.com/temas/documentos%20pdf/Santander_exporta/exporta2014/exportdic2014.pdf
Cámara de Comercio de Bucaramanga (2015). Santander exporta. Boletín número
94.
https://www.camaradirecta.com/temas/documentos%20pdf/Santander_exporta/exporta2015/exportaciones_2015.pdf
Cámara de Comercio de Bucaramanga (2016). Santander exporta. Boletín número
97.
https://www.camaradirecta.com/temas/documentos%20pdf/Santander_exporta/exporta2016/expo_diciembre_2016.pdf
Cassiman, B., Golovko, E. y Martínez-Ros, E. (2010). Innovation, exports and
productivity. International Journal of Industrial Organization, 28(4), 372-376.
Cohen, W. y Levinthal, D. (2000). Absorptive capacity: A new perspective on
learning and innovation. Strategic Learning in a Knowledge Economy, 35(1),
39-67.
Crossan, M. y Apaydin, M. (2010). A multi-dimensional framework of
organizational
innovation: A systematic review of the literature. Journal of Management
Studies, 47(6), 1154-1191.
Durán, J. y Álvarez, M. (2011). Manual de comercio exterior y política
comercial.
Comisión Económica para América Latina y el Caribe (Cepal).
Escandón. D. y Hurtado, A. (2014). Los determinantes de la orientación
exportadora y
los resultados en las pymes exportadoras en Colombia. Estudios
Gerenciales, 30(133), 430-440.
Gómez, E. y González, G. (2011). Proceso de internalización de empresas del
área
metropolitana de Bucaramanga. Revista Lebret, 3, 57, 81.
Grant, R. (1996). Prospering in dynamically competitive environments:
Organizational
capability as knowledge integration. Organization Science, 7, 375-387.
Hirsch, S. y Bijaoui, I. (1985). RyD intensity and export performance: a
micro view.
Weltwirtschaftliches Archiv, 121(2), 238-251.
Kafouros, M., Buckley, P., Sharp, J. y Wang, C. (2008). The role of
internationalization in explaining innovation performance. Technovation, 28(1),
63-74.
Kor, Y. Y. y Mahoney, J. T. (2004). Edith Penrose’s (1959) contributions to
the
resource-based view of strategic management. Journal of Management
Studies, 41(1), 183-191.
Lall, S. (2000). The technological structure and performance of developing
country manufactured exports, 1985-98. Oxford Development Studies, 28(3),
337-369.
Lavie, D. (2006). Capability reconfiguration: An analysis of incumbent
responses
to technological change. Academy of Management Review, 31(1), 153-174.
Lawson, B. y Samson, D. (2001). Developing innovation capability in
organizations:
A dynamic capabilities approach. International Journal of Innovation Management,
5(3), 377-400.
Lefebvre, E., Lefebvre, L. A. y Bourgault, M. (1998). RyD-related
capabilities as
determinants of export performance. Small Business Economics, 10(4), 365-377.
Leonidou, L. y Katsikeas, C. (2007). An analytical review of the factors
simulating
smaller firms to export an innovation: Implication for policy makers. International
Marketing Review, 24, 735-770.
Manjarrés, L. y Vega, J. (2012). La gestión de la innovación en la empresa:
evolución de su campo de estudio. Dimensión Empresarial, 10(1), 18-29.
Mathison, L., Gándara, J., Primera, C. y García, L. (2007). Innovación:
factor clave
para lograr ventajas competitivas. Revista Negotium, 7, 65-83.
Miller, W. L. y Morris L. (1999). Fourth Generation R y D. Managing
Knowledge,
Technology, and Innovation. New York: John Wiley y Sons.
Nonaka, I. y Takeuchi, H. (1996). The knowledge-creating company: How
Japanese
companies create the dynamics of innovation. Long Range Planning,
4(29), 592.
ocde y Eurostat (2005). Manual de Oslo: Guía para la recogida e
interpretación de
datos sobre innovación. Madrid: ocde y Eurostat
Ortiz, S. J. y Pedroza A. R. (2006). ¿Qué es la Gestión de la Innovación y
la
Tecnología (GInnT)? Journal of Technology Management y Innovation, 1(2), 64-82.
Oura, M., Zilber, S. y Lopes, E. (2016). Innovation capacity, international
experience and export performance of SMEs in Brazil. International Business Review,
25(4), 921-932.
Penrose, E. (1959). The Theory of the Growth of the firm. London: Basil
Blackwell.
Pizarro, I., Real, J. y De la Rosa, M. D. (2011). La incidencia del capital
humano y
la
cultura emprendedora en la innovación. Cuadernos de Economía y Dirección
de Empresa, 14(3), 139-150.
Rodríguez, A., Arias, D. y Minguela, B. (2002). Un marco de análisis para la
innovación tecnológica en la empresa. Dirección y Organización, 27, 25-36.
Suárez, O. (2004). Schumpeter, innovación y determinismo tecnológico.
Scientia
Et Technica, X(25), 209-213.
Trillo, M. y Pedraza, J. (2007). La influencia de la innovación en el
capital
intelectual de la empresa. Propuesta de un modelo. Conocimiento, Innovación y
Emprendedores: Camino al Futuro, 102.
Van Den Bosch, F., Volberda, H. y De Boer, M. (1999). Coevolution of firm
absorptive
capacity and knowledge environment: Organizational forms and
combinative capabilities. Organization Science, 10(5), 551-568.
Vega, J. y Gutiérrez, A. (2005). Los determinantes de la innovación
tecnológica
en la empresa: Una aproximación a través del concepto de capacidad de
absorción. Altec, XI Seminario Latino Iberoamericano de Gestión Tecnológica.
Seminario llevado a cabo en Salvador de Bahía, Brasil.
Wang, C. y Ahmed, P. (2004). Leveraging knowledge in the innovation and
learning
process at gkn. International Journal of Technology Management, 27, 74-88.
Wernerfelt, B. (1989). From critical resources to corporate strategy.
Journal of
General Management, 14, 4-12.
Winter, S. (2003). Understanding dynamic capabilities. Strategic Management
Journal, 14, 4-12.
Zahra, S. y George, G. (2002). Absorptive capacity: A review,
reconceptualization,
and extension. Academy of Magnamente Review, 27(2), 185-203.
Capitulo 2
Diferencias departamentales
del comercio intraindustrial
colombiano con Estados
Unidos y Latinoamérica
Regional Differences in Colombian
Intra-industry Trade with the United
States and Latin America
Resumen
El presente capítulo calcula el índice de Grubel y
Lloyd a partir de la información de exportaciones
e importaciones de bienes colombianos por partida arancelaria para las
relaciones comerciales
regionales de: Antioquia, Atlántico, Bogotá, Caldas,
Cundinamarca, Quindío, Risaralda y Valle del Cauca con Argentina, Bolivia,
Brasil, Chile, Ecuador,
México, Perú, Paraguay, Uruguay, Venezuela y Estados Unidos, en el periodo
2011-2017. Como resultados se destacan: i) las diferencias en el número
de bienes con cii en favor de Antioquia, Bogotá y
Valle, ii) la presencia de cii tanto con los países latinoamericanos como
con
Estados Unidos y iii) las
diferencias en los patrones de cii entre las regiones seleccionadas.
Palabras clave: economía internacional, comercio
internacional, comercio intraindustrial, ventajas
competitivas, economías de escala.
Abstract
This chapter calculates the Grubel-Lloyd index
based on information on exports and imports of
colombian goods by tariff heading for bilateral
trade relations between Antioquia, Atlántico, Bogotá, Caldas,
Cundinamarca,
Quindío, Risaralda,
and Valle del Cauca (Colombia) with Argentina, Bolivia, Brazil, Chile,
Ecuador, Mexico, Peru, Paraguay,
Uruguay, Venezuela and the United States, for the
2011-2017 period. Key findings can be summarized
as follows: i) differences in number of iit (intra-industry trade) goods
favor Antioquia, Bogotá and
Valle; ii) existence of iit with both Latin American
countries and the United States; and iii) differences
in iit patterns between the selected regions.
Keywords: International economy, international
trade, intra-industry trade, competitive advantages, economies of
scale.
Sobre los autores | About the authors
Catherine Valencia González [catherine.valenciag@uniagustiniana.edu.co]
Profesional en Comercio Internacional, Universidad Cooperativa de Colombia. Magíster en Didáctica de las Ciencias, Universidad Autónoma de Colombia. Docente del programa de Negocios Internacionales, Uniagustiniana, Bogotá, Colombia.
Bernardo González Lozano [bgonzalo@banrep.gov.co]
Economista, Universidad Autónoma de Occidente. Magíster en Gestión del Desarrollo Regional, Universidad Católica de Pereira. Analista de Estudios Económicos, Banco de la República, Pereira, Colombia
Marco Aguilera-Prado [marco.aguilera@uniagustiniana.edu.co]
Economista, Universidad Autónoma de Occidente. Magíster en Planificación y Administración del Desarrollo Regional, Universidad de los Andes. Candidato a Doctor en Ingeniería, Universidad Distrital Francisco José de Caldas. Profesor Vicerrectoría de Investigaciones, Uniagustiniana, Bogotá, Colombia.
Cómo citar en APA / How to cite in APA
Valencia-González, C., González-Lozano, B. y Aguilera-Prado, M. (2020). Diferencias departamentales del comercio intraindustrial colombiano con Estados Unidos y Latinoamérica. En García-Castiblanco, C. P. (ed.). Ensayos de investigación en comercio y finanzas (pp. 59-110). Bogotá: Editorial Uniagustiniana.
Presentación
La idea de un capítulo sobre comercio intraindustrial (cii) entre los
departamentos y países escogidos se justifica en tanto la literatura
sobre cii en Colombia ha avanzado en estudios parciales, no así en
investigaciones que abarquen un espacio más amplio de los exportadores
industriales colombianos ni de sus proveedores. Asimismo,
para el país es necesario empezar a evaluar de manera más efectiva
cómo se han constituido los patrones de comercio, cuáles son las
diferencias en la oferta exportable de los departamentos y cuáles
los avances en términos de ventajas comparativas.
Lo anterior permite evaluar la dinámica del aprovechamiento de los
acuerdos comerciales como las estrategias de las agendas regionales de
competitividad, las cuales en muchos casos han realizado esfuerzos por
configurar sectores y bienes para la alta competencia.
En esa medida, han desconocido las dinámicas propias del comercio
internacional departamental y han hecho focalizaciones erradas en el
destino
de su oferta exportable.
En ese sentido, el presente capítulo mide el cii a través del índice
de Grubel y Lloyd, a partir de la información de exportaciones e
importaciones de bienes por partida arancelaria para las relaciones
comerciales bilaterales entre: Antioquia, Atlántico, Bogotá, Caldas,
Cundinamarca, Quindío, Risaralda y Valle del Cauca con Argentina,
Bolivia,
Brasil, Chile, Ecuador, México, Perú, Paraguay, Uruguay,
Venezuela y Estados Unidos, en el periodo 2011-2017 y analiza los
resultados en términos de cantidad de bienes con cii y el tipo de
esos bienes.
Los apartados posteriores a esta introducción presentan las ventajas de
la
presencia de cii, las formas de la medición del cii, describen el cii
colombiano y presentan los resultados de la medición
realizada.
Comercio intraindustrial y sus ventajas
Desde el surgimiento de la nueva teoría del comercio internacional
se admite que el comercio también crece al interior de la misma
industria, y no exclusivamente entre sectores diferentes, lo cual se
explica por la complementariedad productiva. Diversas investigaciones
realizadas desde los años sesenta mostraron esta relación y
configuraron un espacio de trabajo académico en el que se resaltan
los trabajos de Veerdon y Balassa que derivaron, entre otros, en el
índice de ventaja comparativa revelada y sus posteriores modificaciones
para la medición de comercio intraindustrial (Sequeiros
Tizón y Fernández Redondo, 2003).
Para los ochenta, los avances en la nueva teoría del comercio
internacional (Krugman, 1979, 1980; Helpman, 1981; Helpman y Krugman,
1985; Flam y Helpman, 1987) permitieron explicar el fenómeno que
se observó desde finales de la década de los sesenta y principios de
los setenta en muchos trabajos empíricos: el comercio intraindustrial
(Nowak, Petit y Mondher, 2012).
En este punto de la historia, existen dos razones por las cuales
sucede el comercio internacional. La primera asociada con las
dotaciones de factores o tecnología y por ende con las ventajas
comparativas explicadas por la teoría convencional del comercio.
La segunda por aprovechamiento de economías de escala (rendimientos
crecientes a escala) que determinan ventajas competitivas
explicadas por la nueva teoría del comercio. Esta división permite
el surgimiento de dos conceptos: el comercio interindustrial, que
hace referencia al intercambio comercial entre sectores de diferentes
industrias y el comercio intraindustrial, cii (iit: Intra-Industry
Trade) que hace referencia a la importación y exportación de
bienes o de servicios del mismo sector industrial (Krugman y Obstfeld,
2006; Krugman, Obstfeld y Melitz, 2012).
De allí se desprende que la presencia de cii implica empresas que
puedan generar rendimientos crecientes, que generalmente son
industriales y deben localizarse en espacios específicos que les
permitan los flujos de insumos y de salida de los bienes producidos.
Este tipo de empresas son productivamente superiores a aquellas
pequeñas y sus demandas de capital humano y físico son mayores,
por lo tanto, son dinamizadoras del aparato productivo del espacio
geográfico donde se localizan tanto por demando como por la generación
de spill-overs tecnológicos.
Comercio intraindustrial en las relaciones comerciales
Diferentes trabajos empíricos señalan que los acuerdos internacionales
favorecen el
cii, ya que se genera un aumento en las operaciones de comercio exterior
y la movilidad de factores, motivados por la eliminación de aranceles
que generan libre circulación de mercancías y bienes de capital. Lo
anterior es producto de los incentivos tributarios y fiscales que
favorecen los procesos de internacionalización de las empresas del
sector industrial, más aún, si el acuerdo se motivó porque el país de
destino es intensivo en mano de obra (Fainštein y Netšunajev, 2011;
Clark, 2009; López y Rodil, 2008).
Otros trabajos han medido la
intensidad del cii y su tipo (ciih, horizontal, o ciiv, vertical), por
ejemplo, para México y nafta, la medición de cii mediante exportaciones
e importaciones de bienes clasificados mediante el sistema armonizado,
arrojó que el ciiv es predominante en este acuerdo, aunque el ciih ha
tenido un crecimiento significativo durante la vigencia del mismo. El
estudio señala que el ciiv ha venido decreciendo con Canadá pero
paralelamente se incrementa con México y resalta la pertinencia de la
clasificación del sistema armonizado para precisión en la identificación
de los bienes (Ekanayake, Veeramacheneni y Moslares, 2009).
Así mismo, un trabajo para la región andaluza y sus socios del
mediterráneo mostró que el comercio predominantemente es interindustrial
y que el cii que se evidencia es diferenciado por calidad
(ciiv). En el documento se muestra que los costos de ajuste son más
difíciles después de la liberalización comercial y los procesos de
integración avanzados (Rivera, 2014).
Dentro de la Aladi (Asociación Latinoamericana de Integración)
existe evidencia del avance del cii entre los años ochenta (8%) y
2000 (26%) y un descenso desde ese año. El cii dentro del acuerdo
se concentra en un 90% los países de México, Brasil y Argentina,
siendo México el responsable del 40% de estas operaciones. Aladi
(2012) tiene mayor cii con Estados Unidos y Canadá y, seguidamente, con
los partícipes del acuerdo. Como bienes más representativos se pueden
mencionar: maquinaria, equipos de transporte y
productos químicos.
Para Colombia diferentes trabajos han mostrado la existencia de
cii con diferentes países: i) 451 bienes (9%) de 5000 que configuran
el comercio bilateral entre Colombia y Estados Unidos presentan
flujos de cii (Caicedo y Mora, 2011), de los cuales ninguno tiene alto
componente tecnológico y ii) cerca del 20% del comercio total de
Colombia es cii. Con Ecuador, Chile y Perú se mantiene un cii de
manera bilateral mayor al 40% asociado a diferencias en dotaciones
factoriales, tamaño y estructura del mercado, distancia y lenguaje;
con Estados Unidos y China, a pesar del crecimiento del comercio,
el cii no es significativo (Arza y Almanza, 2014).
Asimismo, en las regiones colombianas, la evidencia ha mostrado la
existencia de cii entre algunos departamentos y la can, la presencia
de ciiv con Venezuela y Ecuador y la poca significancia del mercado
peruano (Moreno y Posada, 2007). Para el caso del Valle del Cauca,
ha existido cii por más de quince años, desde los años noventa, y ha
habido cambios en los patrones de comercio interindustrial (Hernández y
Raffo, 2016).
Los trabajos referentes a Colombia muestran que, desde los años
noventa, existen sectores significativos en su industria como: productos
químicos, manufacturas del plástico, manufacturas textiles,
productos del papel, cartón, imprenta y editoriales, que concentran el
mayor flujo de cii. Igualmente, estos trabajos evidencian la necesidad
de hacer mediciones con un nivel superior de desagregación para los
bienes, ya que el ciiu agrupa productos con características similares,
pero que deben ser diferenciadas si se quiere
mayor precisión en la identificación del producto y con ello mayor
confiabilidad en el índice trabajado (Moreno y Posada, 2007; Hernández y
Raffo, 2016; Caicedo y Mora, 2011).
Medición del comercio intraindustrial
La medición del cii ha ido avanzando desde Veerdon, en los años
sesenta, quien propone un indicador de medición como tasa de cobertura,
el cual fue criticado por su falta de simetría hasta la llegada
de las variaciones del indicador de Grubel y Lloyd (dinámica por
volumen y ajustada) (Sequeiros Tizón y Fernández Redondo, 2003).
El índice de Veerdon es una tasa de cobertura de exportaciones
sobre importaciones para cada sector; cuanto más se acerque a
1, más intenso es el cii. Sin embargo, es posible comparar un indicador
de 0,5 con uno de 2, de allí el solapamiento y su falta de
simetría. El indicador es el siguiente (Sequeiros Tizón y Fernández
Redondo, 2003):
Kojima mejora el indicador de Veerdon tomando el flujo menor con
el flujo mayor de las importaciones y exportaciones, así obtiene el
primer indicador de cii que ordena los sectores según el volumen
de cii y los relaciona en función de máximos y mínimos. Cuando el
indicador toma valor de cero, implica que todo el comercio es
interindustrial, y si toma el valor de cien, que todo es
intraindustrial.
Formalmente, es (Sequeiros Tizón y Fernández Redondo, 2003):
Balassa introduce el índice de ventaja comparativa revelada absoluta, en el que, a partir de la tasa de cobertura se puede caracterizar un sector desde su especialización completa hasta sus niveles de solapamiento, que se leen como comercio intraindustrial. Formalmente, el índice es (Sequeiros Tizón y Fernández Redondo, 2003):
El índice de ventaja comparativa revelada absoluta ha sido el más utilizado en los análisis de comercio internacional y en los estudios que buscan medir los saldos comerciales entre países. Una de las transformaciones de amplia difusión ese el Índice de Ventaja Comparativa Revelada Relativa (ivcrr), que relaciona el saldo relativo de un sector y su correspondiente al conjunto de la economía. El cálculo se hace de la siguiente manera (Sequeiros Tizón y Fernández Redondo, 2003):
Esas sucesivas transformaciones y adiciones de ponderadores para capturar el solapamiento entre exportaciones e importaciones en cada sector dieron origen a los clásicos indicadores de cii, los de Grubel y Lloyd, que desde 1975 han sido aceptados en la literatura sobre comercio internacional y luego permitieron la clasificación entre cii horizontal o vertical. El índice de Grubel y Lloyd es (Sequeiros Tizón y Fernández Redondo, 2003):
Este índice arroja valores iguales a la unidad cuando el solapamiento entre los dos flujos es total, esto es, cuando las importaciones coinciden con las exportaciones, y valores nulos cuando lo es también alguno de los dos flujos. Para agregar y medir la relación entre el comercio solapado y el comercio total de cada sector, se construyó en índice de Grubel y Lloyd agregado que tiene la siguiente forma (Sequeiros Tizón y Fernández Redondo, 2003):
Para su adecuada aplicación, se presentó el glac, que es el gl agregado corregido con el factor que captura el desequilibrio comercial, a mayor factor, mayor desequilibrio y a menor factor, menor desequilibrio.
Resolviendo,
Nótese que las agregaciones y variaciones para el índice de gl apuntan a minimizar el impacto de la agregación, tanto de los bienes como de los espacios geográficos (Moreno y Posada, 2007). En esencia, son formas de capturar de mejor manera el verdadero peso del comercio intraindustrial, una vez bien identificado, dentro del comercio total.
Comercio colombiano con Estados Unidos y Latinoamérica
De acuerdo con la información facilitada por el Banco de la República, se encontró que, para Colombia, el principal Tratado de Libre Comercio (tlc) es el que se negoció con Estados Unidos y entró en vigencia 15 de mayo de 2012. De acuerdo con los datos, 30,9% de las exportaciones de los departamentos en estudio (Antioquia, Atlántico, Bogotá, Caldas, Cundinamarca, Quindío, Risaralda y Valle Del Cauca) tuvieron en 2017 ese destino, seguido por Ecuador, Perú, México, Brasil y Chile; este hecho indica que 42,4% de las exportaciones fueron a países con los cuales se tienen tratados de libre comercio o acuerdos comerciales (tabla 1).
En el marco de los acuerdos comerciales, la Comunidad Andina de Naciones (can: Bolivia, Ecuador y Perú) recibió en 2017 el 15,7% del total de las exportaciones, seguido por la Alianza Pacífico (Chile, México y Perú) que contó con una ponderación del 14,4% y Mercosur (Argentina, Brasil, Paraguay y Uruguay) que sumó 4,6% del total. En consecuencia, de las ventas externas colombianas en 2017, un 37,4% se enmarcan dentro de los principales acuerdos comerciales vigentes, mientras que las dirigidas únicamente hacia ee. uu. alcanzaron un 30,8%, mostrando la dependencia colombiana hacia el mercado norteamericano (tabla 2).
Estados Unidos ha sido el principal socio comercial colombiano, lo cual se evidencia desde el año 2000. Con una participación del 31,0% del total de las ventas, continúa con esa ponderación hasta el 2017 cuando representó el 30,9% del total y registró un incremento del 2,7% frente al año inmediatamente anterior. En orden, le sigue Ecuador, que presentó un incremento significativo el último año con una tasa del 18,6%, aunque no alcanzó a tener el valor registrado en su punto más alto, que fue en 2010; asimismo, se registraron disminuciones del 2010 al 2016. Por otro lado, destaca el comportamiento de las compras chilenas con un crecimiento del 27,5% en 2017 (tabla 3).
Del total de las exportaciones sobresale la producción agrícola,
que durante los años de estudio se comportó así: en el año 2000
representó el 19,6% del total, para en el 2010 caer al 13,8%, esta
disminución fue porcentual pero no en valores. Posteriormente, en
2017, logró recuperarse y se ubicó con el 16,9% del total. Los
departamentos más representativos en esta actividad fueron: Antioquia,
con un aporte del 43,0% en el 2017, seguido por Bogotá, con 29,8%
y Cundinamarca con 24,7%.
En cuanto a las importaciones, las compras realizadas por los
departamentos en estudio mostraron, así como sucedió con las
exportaciones, a Estados Unidos como principal socio comercial; sin
embargo, esta vez China también compartía el mérito. Por su parte, los
acuerdos comerciales dentro del total de las importaciones
sumaron el 21,2%, como es el caso de Mercosur, al que en 2017 se
le hicieron compras por 2603 millones, las cuales representaron el
6,5% del total (tabla 4).
En el año 2000, el acuerdo comercial que mayor participación tuvo en importaciones totales fue Alianza Pacífico, al sumar 898 millones de dólares que representaron 9,18% del total de las exportaciones, mientras que la can contribuyó con el 5,5%. El Triángulo del Norte fue el acuerdo de menor participación (0,14%); para el 2015 la Alianza Pacífico participó con 10,7% y en 2017 esta participación alcanzó 11,0% (tabla 5).
El 2015 fue el año en el que se registra mayor valor de importaciones
provenientes de Estados Unidos, con 12442 millones de dólares, seguido
por el 2017 con 9737 millones de dólares; un comportamiento similar fue
registrado en las importaciones desde China, que en
2017 ascendieron a 8419 millones de dólares. El tercer país en el cual
se hizo la mayor cantidad de operaciones fue México, que se encuentra en
la Alianza Pacífico, seguido por Brasil, Alemania, y Japón.
Estos siete países ostentaron el 67,9% del total de las compras
realizadas, mientras que el 35,1% se hicieron con el resto del
mundo.
Regionalmente, durante 2017 Bogotá importó una gran variedad de
productos, entre ellos: manufacturas de sustancias químicas básicas,
otras de productos químicos, de caucho, de plástico. En cuanto
a bienes industriales, se encuentran: maquinaria de uso general y
otras maquinarias de uso especial. Similar comportamiento se observó en
el departamento de Cundinamarca.
El Eje Cafetero (Caldas, Quindío y Risaralda) presenta dinamismo
en la importación de los siguientes productos: maquinaria de uso
general, manufacturas en industrias básicas de hierro y de acero,
manufacturas de aparatos de uso doméstico, como también de
sustancias químicas básicas. Por su parte, el Valle del Cauca se
caracterizó por importar, de igual modo, manufacturas de sustancias
químicas básicas, de productos químicos, de productos de plástico,
otros productos elaborados de metal, y servicios relacionados con
el trabajo de metales.
En cuanto a actividades industriales, el año 2017 fue reconocido
como el de mayor participación en las exportaciones colombianas,
con un 75,5%. De igual forma ocurrió con las demás actividades,
que continuaron con un comportamiento similar en los años de estudio y
presentaron la mayor concentración en el 2015 con el 76,7%
y la más baja para el 2000 con el 62,9%.
En este sentido, las exportaciones industriales en el 2000 estuvieron
conformadas por la fabricación de otros productos químicos
con una participación del 14,7%. En 2005, mostraron su comportamiento
más bajo al representar el 6,9% del total de las exportaciones, sin
embargo, lograron recuperarse en los años siguientes, y
en el 2017 llegaron a participar con el 14,5%. A su vez, se encontró
que los departamentos más representativos en esta actividad en el
último año fueron: Bogotá, con un aporte del 25,3%, seguido por
Atlántico con 24,9% y Cundinamarca con 15,8%.
Por su parte, la elaboración de productos de café, que en el año
2000 no tuvo participación, se incorporó en 2015 y participó con el
15,1%; además, consiguió incrementar su producción para el 2017,
cuando aportó el 16,9% de toda la producción industrial. Lo anterior
dejó la sensación de que una parte de estos estaba siendo exportada,
luego de sufrir algún tipo de transformación y no solo como un
commoditie. El mayor aporte de esta producción en 2017 provino
del departamento de Caldas, con un 26,6%, seguido por Antioquia
con 23,9%, Risaralda con 20,4% y Quindío con 12,3%. Estos valores
indican un cambio en la dinámica del eje cafetero, que pasó de ser una
región netamente productora a presentar una transformación
industrial y mayor valor agregado en sus productos de
exportación.
Otro componente relevante en el sector industrial es la industria
básica de metales preciosos y de metales no ferrosos, que en 2017
aportó el 12,6% del sector industrial. En este rubro el departamento más
destacado fue Antioquia, con un aporte del 73,4%, seguido
del Valle del Cauca con uno del 11,0%, mostrando la concentración
de la actividad en el departamento antioqueño. Cabe aclarar que, de
los departamentos en estudio, el Quindío no ha hecho aporte alguno a
esta actividad.
Comercio intraindustrial con Estados Unidos y Latinoamérica
Al llevar a cabo el cálculo del comercio intraindustrial del periodo
entre el 2011 y el 2017, se empleó el índice de Grubel y Lloyd por
departamento y por país; como fuente de información para exportaciones e
importaciones se tomaron los microdatos del dane (Departamento
Administrativo Nacional de Estadísticas de Colombia).
Aunado a lo anterior, se empleó la suma de los valores fob de las
transacciones de cada año como datos para exportaciones e importaciones;
además, para dar con el origen de las exportaciones se
tomó el departamento donde se cultivaron o elaboraron o donde se
desarrolló la última fase del proceso productivo (esta información
solo está disponible para el periodo mencionado).
Así, para cada departamento se calculó el comercio intraindustrial
como:
Donde cada i corresponde a cada bien, según su partida arancelaria y j a cada uno de los países con los que el departamento tuvo operaciones de comercio. De esta manera, el cálculo evita el sesgo de agregación al irse a especificidades del bien y el sesgo geográfico al hacerlo sobre comercio bilateral (Moreno y Posada, 2007).
Resultados
La evidencia muestra una mayor dinámica de cii de Bogotá con los países seleccionados; 43930 transacciones en el periodo de análisis, seguido por Antioquia (17009) y Valle del Cauca (7136). Por su parte Risaralda (457), Caldas (437) y Quindío (22) tuvieron el menor número de transacciones de cii. Las transacciones de cii bogotanas representaron poco más de la mitad del total en cada año del periodo de estudio (55,8% del total general del periodo), las antioqueñas cerca del 22% y las vallecaucanas el 9%. Mientras que Risaralda, Caldas y Quindío menos del 1%. El detalle del número de transacciones por departamento se presenta en la tabla 6.
Asimismo, los resultados arrojan que, en general los departamentos
seleccionados mantuvieron relaciones con cii con diez u once (todos)
países
de los destinos del estudio. Quindío, Caldas y Risaralda tuvieron menos
transacciones de cii y con menos países que el
resto. El mayor número de transacciones de cii en el periodo de
estudio se presenta entre cada departamento y Estados Unidos, seguidas
por
las transacciones con México. Esta dinámica solamente
es distinta para Caldas, que presenta mayor número de transacciones con
México, seguidas por Estados Unidos. Bolivia, Paraguay,
Uruguay y Venezuela son los países con menores flujos de cii para
todos los departamentos (ver anexos).
A su vez, los países con que los departamentos seleccionados presentaron
el mayor número de transacciones de cii fueron Estados
Unidos, México y Perú, donde Estados Unidos representó 40,7%
de las transacciones de cii del periodo y cerca del 40% de las
transacciones de cada año, México el 18,8% y Perú el 11,2% del número
total de transacciones cii del periodo de estudio. Entre Uruguay,
Bolivia y Paraguay no aportaron más del 1% de las transacciones de
cii del periodo. La tabla 7 presenta el detalle del número de
transacciones entre los departamentos y los países seleccionados.
El conjunto de departamentos presenta un mayor número de transacciones en bienes provenientes de la industria del plástico con mayor o menor nivel de elaboración. De igual forma, son representativos algunos bienes de la industria del papel (incluidos cajas, empaques e impresos como etiquetas y folletos), además de las empresas de caucho y fundición. La tabla 8 presenta los diez bienes con mayor número de transacciones de cii.
Por otra parte, al hacer una selección de los diez tipos de bienes
con mayor cii entre cada departamento y cada país seleccionado,
se encontró que el número de bienes con cii varía por cada departamento
de esta manera: Antioquia: 80 tipos de bienes transados,
Bogotá: 77, Cundinamarca: 69, Valle del Cauca: 66 y Atlántico: 66,
Caldas: 55, Risaralda: 55 y Quindío: 7. De esos 329 tipos de bienes
seleccionados, aquel que está presente en los ocho departamentos
pertenece al grupo de manufacturas de plásticos (3926909090), seguido
por: impresos publicitarios; catálogos comerciales y similares
(4911100000), que está en siete departamentos (no está en Quindío);
algunas manufacturas de hierro; placas; láminas; hojas y tiras de
plástico no celular de polímeros de etileno (7326909000), presente
en seis departamentos (ni en Quindío ni en Atlántico); artículos para
el transporte o envasado de polímeros de etileno (3923509000),
presente en cinco departamentos (no está en los departamentos
del eje cafetero) y, finalmente, otras placas de plástico no celular y
sin refuerzo, estratificación ni soporte o combinación similar con
otras materias de polímeros de etileno (3920100000), también con
cinco presencias (no está en Atlántico, Quindío y Risaralda).
Estos bienes, que son los más representativos, en su mayoría, en
Antioquia, Bogotá y Valle del Cauca: i) figuran en todos los años del
periodo de estudio; ii) su indicador de G&L es mayor a 0,33, lo que
representa un cii genuino y iii) están presentes en casi todos los
flujos con los países de interés del estudio. Para los otros
departamentos, el conjunto de bienes más representativo no presenta cii
todos los años del estudio, ni figuran en el flujo de todos los demás
países seleccionados. Eso constituye una pista de especialización y
diferencia en las ventajas competitivas de los departamentos en sus
relaciones con Estados Unidos y América Latina: Caldas, Quindío,
Risaralda son departamentos que aún no consolidan el cii ni con
Latinoamérica ni con Estados Unidos, mientras que Antioquia, Bogotá y
Valle del Cauca tienen una oferta más amplia y consolidada
tanto con Latinoamérica como con Estados Unidos.
Referencias
aladi (2012). Evolución del comercio intraindustrial en la Aladi. Estudio
201, Secretaría general de la Aladi.
Arza, N. y Almanza, C. (2014). Determinantes del comercio
intra-industrial entre
Colombia y sus principales socios comerciales. Revista de Economía del
Caribe, 13, 36-60.
Caicedo, C. y Mora, J. J. (2011). Comercio Intraindustrial
Colombia-Estados Unidos: el caso de los bienes altamente tecnológicos.
Cuadernos de Economía,
30(54), 83-104.
Clark, D. P. (2009). Intraindustry Specialization and the
Proposed Korea-United
States Free Trade Agreement. International Economic Journal, 23(2),
181-195.
doi:10.1080/10168730902901163
Ekanayake, E. M., Veeramacheneni, B. y Moslares, C. (2009).
Vertical and Horizontal Intra-Industry Trade Between the U.S. and Nafta
Partners. Revista de
Análisis Económico, 24(1), 21-42.
Fainštein, G. y Netšunajev, A. (2011). Intra-Industry Trade
Development in the
Baltic States. Emerging Markets Finance and Trade, 47(3), 95-110.
Hernández, E. A. y Raffo, L. (2016). Comercio intra-industrial y
costos de ajuste
para la industria del Valle del Cauca (1975-2014). Semestre Económico,
19(41),
137-166. doi:10.22395/seec.v19n41a6
Krugman, P. R., Obstfeld, M. y Melitz, M. J. (2012). Economía
internacional. Madrid:
Pearson Educación.
Krugman, P. y Obstfeld, M. (2006). Economía Internacional:
Teoría y Política (7.ª
ed.). Madrid: McGrawHill.
López, J. A. y Rodil, Ó. (2008). Comercio intra-industrial e
intra-firma en México
en el contexto del proceso de integración de América del Norte (1993-
2006). Economía unam, 5(13), 86-112.
Moreno, A. I. y Posada, H. M. (2007). Evolución del comercio
intraindustrial entre
las regiones colombianas y la y la Comunidad Andina, 1990-2004: un
análisis
comparativo. Lecturas de Economía, 66, 83-118.
Nowak, J.-J., Petit, S. y Mondher, S. (2012). Intra-tourism
trade in Europe. Tourism
Economics, 18(6), 1287-1311.
Rivera, M. (2014). Trade patterns in the process of European
integration: Evidence for the intraindustrial exchanges of a
Mediterranean peripheral region.
Annals of Regional Science, 52(1), 227-249.
Sequeiros Tizón, J. G. y Fernández Redondo, M. (2003). Algunas
cuestiones metodológicas sobre la medición del Comercio
intra-industrial. http://gaspar.udc.es/
subido/4_comercio_internacional/algunas_cuestiones_metodolgicas.pdf
Anexos
Capitulo 3
Factores determinantes
del
desarrollo de competencias
financieras en los
futuros profesionales de
administración de empresas
de universidades colombianas
Determining Factors for the Development of
Financial Skills in Future Professionals in Business
Administration from Colombian Universities
Resumen
Este trabajo se propone identificar los factores sociales,
económicos y educativos que afectan las
competencias financieras en los futuros profesionales de la
carrera de Administración de Empresas que ofertan las
universidades colombianas
(Instituciones de Educación Superior, ies). Para tal
efecto, se tomaron los resultados obtenidos en el
módulo de la competencia específica de gestión
financiera de las pruebas Saber Pro, aplicadas a
los estudiantes en 2016. Para ello se contó con la
información suministrada por el Instituto Colombiano para el
Fomento de la Educación Superior
(Icfes). El análisis de los datos se llevó a cabo a través de un
modelo jerárquico de dos niveles, que
toma como primer nivel las variables individuo,
género y edad. Para el segundo nivel, se recopilaron las
variables institucionales, universidades
acreditadas, programas acreditados y modalidad
de estudio. En definitiva, se encontró que existía
diferencia en los puntajes promedios entre las instituciones.
Además, se hizo relevante la contribución directa en las
variables de segundo nivel y de
género; mientras que la relación entre la variable
edad y el puntaje es inverso.
Palabras clave: competencias financieras, Saber Pro,
instituciones de educación superior, profesionales
en Administración de Empresas.
Abstract
This chapter aims to identify the social, economic, and
educational factors that affect the financial
skills of future professionals in Business Administration
programs offered by Colombian universities.
For this purpose, we studied the results obtained
in the specific financial management skill module
of the Saber Pro tests applied to students in 2016,
using the information provided by the Colombian Institute
for the Promotion of Higher Education (Icfes). Data analysis
was carried out through
a two-level hierarchical model, which considered
individual gender and age variables as the first
analysis level. For the second level, the institutional
variable, accredited universities, accredited programs, and
study modality were collected. In short,
a difference in the average scores among the studied
institutions was observed. In addition, the direct
relationship among second-level variables and
gender became relevant, whereas the relationship
between age and scores turned out to be inverse.
Keywords: Financial skills, Saber Pro, Higher
Education Institutions, professionals in Business
Administration.
Sobre los autores | About the authors
Jorge Eliécer Gaitán Méndez [jorge.gaitan@uniagustiniana.edu.co]
Economista, Universidad de La Salle. Magíster en Administración de Empresas, Universidad del Mar, Chile. Candidato a Doctor en Economía, Swiss Management Center University, Suiza. Docente del programa de Administración de Empresas, Uniagustiniana, Bogotá, Colombia.
Diana Patricia Velásquez Castillo [diana.velasquez@uniagustiniana.edu.co]
Economista, Universidad Autónoma de Occidente. Magíster en Educación, Pontificia Universidad Javeriana. Docente de los programas de Administración de Empresas y Negocios Internacionales, Uniagustiniana, Bogotá, Colombia.
Yeimi Viviana Marín Chaves [yeimy.marinch@uniagustiniana.edu.co]
Administradora de Empresas, Universidad de La Salle. Magíster en Sistemas Integrados de Gestión, Universidad de La Rioja. Docente del programa de Administración de Empresas, Uniagustiniana, Bogotá, Colombia.
Andrés Rocha Alfonso [andres.rocha@uniagustiniana.edu.co]
Administrador de Empresas, Universidad Cooperativa de Colombia. Magíster en Administración de Empresas Universidad Viña del Mar, Chile. Docente del programa de Administración de Empresas, Uniagustiniana, Bogotá, Colombia.
Yeimy Katherine Serrano [yeimmy.serrano@uniagustiniana.edu.co] Licenciada en Educación Básica con énfasis en Matemáticas, Universidad Distrital Francisco José de Caldas. Especialista en Estadística, Universidad Nacional de Colombia. Docente del Departamento de Ciencias Básicas, Uniagustiniana, Bogotá, Colombia.
Cómo citar en APA / How to cite in APA
Gaitán-Méndez, J. E., Velázquez-Castillo, D. P., Marín-Chaves, Y. V., Rocha-Alfonso, A. y Serrano, Y. K. (2020). Factores determinantes del desarrollo de competencias financieras en los futuros profesionales de administración de empresas de universidades colombianas. En García-Castiblanco, C. P. (ed.). Ensayos de investigación en comercio y finanzas (pp. 111-134). Bogotá: Editorial Uniagustiniana.
Introducción
El entorno laboral en el que se desempeñan los profesionales
de la
carrera de Administración de Empresas se hace cada día más
exigente, debido a fenómenos tan diversos como la
globalización, el
cambio climático, el conflicto en el Oriente Medio entre
otros. Así,
los giros políticos y económicos inesperados en diferentes
latitudes del planeta hacen necesario que las empresas se
ajusten rápidamente a las nuevas situaciones, de ahí que sea
imprescindible
la contratación de profesionales competentes en diferentes
áreas
funcionales de las organizaciones, entre ellas la
financiera. Esta
es sin duda, crucial en el engranaje de cualquier empresa,
pues su
papel consiste en gestionar los recursos necesarios para el
buen
desempeño de las demás dependencias y, en consecuencia, de
la
organización en general. Así, desempeña una gestión
gerencial que
garantiza la viabilidad y sustentabilidad de los recursos de
una institución al concebir una planeación estratégica (es
decir, con una
proyección a escenarios futuros), a través de decisiones que
responden a la dinámica de los factores externos e internos
en los que
se desenvuelven las organizaciones.
En este capítulo se identifican los factores que inciden en
el desarrollo de las competencias en el área de gestión
financiera de los
estudiantes de Administración de Empresas, de las
universidades
colombianas. Dicho análisis se efectúa a partir de un modelo
jerárquico lineal de los resultados en el módulo de gestión
financiera de
las pruebas Saber Pro, presentadas durante el año 2016.
Gracias a
que la información se encuentra disponible en la base de
datos del
Icfes se puede determinar el conjunto de variables que
favorecen el
buen desempeño de la población objeto de estudio en los
mencionados exámenes.
A modo de contextualización
Para definir las competencias profesionales se ha tomado como fuente principal el proyecto Tuning (2007), que si bien fue planteado en 1999 para la Unión Europea, posteriormente fue adoptado en América Latina. Este documento hace distinción entre competencias genéricas y específicas para cada área del conocimiento; en el caso de la carrera de Administración de Empresas, los autores Daza, Charris y Viloria (2015) logran identificar 27 competencias genéricas y 20 específicas. En la literatura disponible es posible encontrar varias definiciones del término “competencia” y los conceptos asociados “competencias genéricas” y “competencias específicas”. Sin embargo, para esta investigación se tomaron los asertos que al respecto hace el proyecto Tuning, como se mencionó antes. Así las cosas, se entiende por competencia: “una combinación dinámica de conocimiento, comprensión, capacidades y habilidades” (Tuning, 2007, p. 37). En este sentido, el término competencia implica la combinación de tres elementos: el saber, el saber hacer y el ser persona.
Competencias genéricas
Asimismo, el documento define las competencias genéricas como aquellas que “identifican los elementos compartidos, comunes a cualquier titulación, tales como la capacidad de aprender, de tomar decisiones, de diseñar proyectos, las habilidades interpersonales, etc.” (p. 37). A partir de esta acepción, se detallan 27 competencias genéricas para América Latina, como se evidencia en la tabla 1.
Competencias específicas
Retomando el documento del proyecto Tuning, comprobamos que establece que las competencias genéricas se complementan con las competencias específicas, pues estas están “relacionadas con cada área de estudio, [son] cruciales para cualquier título, y referidas a la especificidad propia de un campo de estudio” (p. 37). Sumado a lo anterior, la primera fase del proyecto para América latina definió competencias específicas para doce carreras profesionales: Administración de Empresas, Arquitectura, Derecho, Educación, Enfermería, Física, Geología, Historia, Ingeniería Civil, Matemáticas, Medicina y Química. Dado el objetivo de este estudio, es importante enlistar (tabla 2) las competencias específicas correspondientes a la carrera de Administración de Empresas.
Fuente: adaptada de El proyecto Tuning (2007).
Fuente: adaptada de El proyecto Tuning (2007).
Competencias financieras
Las competencias generales en el área financiera se basan en
parámetros indispensables como la habilidad de establecer
actividades
pertinentes en un tiempo limitado de ejecución, utilizando
un presupuesto acorde a la situación de la empresa. Después
de presentar
una propuesta bajo dichos parámetros, surge otro tipo de
preguntas que son obvias para un inversionista y que el
profesional en
administración debe resolver. Preguntas sobre el tiempo de
recuperación del capital, los riesgos que se generan en el
ejercicio de la
actividad económica y la gestión financiera son
fundamentales para anticiparse a cualquier factor que genere
incertidumbre y alarma
para la organización. En consecuencia, la labor del
administrador
implica metodologías y herramientas para obtener la
información
necesaria que permita establecer posibles escenarios (desde
los
más optimistas a los más pesimistas). Es decir, puede tomar
decisiones sostenidas en un argumento metodológico que
minimiza el
riesgo de perder o disminuir un capital de trabajo.
Por lo mismo, es importante que los profesionales en estas
áreas y
desde luego en la formación de otras disciplinas cuenten con
competencias financieras que les permitan tomar decisiones
con relación a su bienestar y calidad de vida; a partir del
uso adecuado de
sus recursos disponibles, cualquier persona estaría en
capacidad
de definir estrategias para interactuar de manera pertinente
en el
sistema financiero y económico.
En esta medida, resulta interesante hacer un análisis de las
competencias financieras desde el entorno mismo en que ellas
se empiezan a gestar. En Colombia, tal entorno está
constituido por una
amplia gama de entidades de educación superior.
Modelo jerárquico lineal
Entre las técnicas de análisis estadístico para variables
cuantitativas se incluyen los modelos de regresión, en los
cuales se plantea una ecuación que modela el comportamiento
de una variable
independiente en función de uno o más regresores. En el caso
de
una variable explicativa, se considera un modelo de
regresión simple; si se incluye más de una variable, este es
un modelo de regresión múltiple. De este modo, una de las
características de los
modelos de regresión clásicos es el requisito de que las
variables
que se involucren deben ser incorreladas; con lo cual, los
valores
de una no puedan estar determinados por otras. En este
sentido,
existen limitantes para este tipo de modelos debido a la
estructura
del contexto del cual han sido recogidos los datos, pues
hace que
exista dependencia entre la misma. Frente a esto, se
presentan los
modelos jerárquicos lineales (también conocidos como
multinivel o anidados) como una ampliación de los modelos de
regresión clásicos, pues en el modelo jerárquico se tiene en
cuenta la estructura
de niveles que incluye la relación entre las variables y el
contexto.
De esta manera, es posible eliminar la condición de
independencia
de los modelos clásicos (Iñíguez y Marcaletti, 2018, p.
3).
Debemos recordar que la metodología lineal tuvo sus inicios
en la
década del setenta, con la publicación de varios estudios
que llevaban consigo una estructura de niveles. Es en 1972
cuando Lindley
y Smith publicaron un estudio en el que se incluía una
estructura
jerárquica, según se cita en Bryk y Raudenbush (1992). A
pesar de
los intentos por incursionar en este campo, las
investigaciones al
respecto se limitaron por el déficit en los desarrollos
tecnológicos
de la época. Más tarde, en 1981, se retoma la estructura
multinivel,
gracias a los trabajos teóricos realizados por Dempster,
Rubin y
Tsutakawa. En resumen, a partir de este momento se
incrementa
el interés de los investigadores por aplicar esta
metodología a sus
estudios, de ahí surge un nuevo campo de investigación en
torno a
las Escuelas Eficaces.
Para retomar los modelos jerárquicos, se puede decir que los
niveles o subniveles de cada categoría están representados
por su propio modelo, este a su vez constituye un modelo
general. En otros
términos, en cada nivel se establecen relaciones entre
variables
propias de esa jerarquía y su aporte en otras jerarquías.
Tal como lo
expresa De la Cruz (2008, p. 245), “el modelo de regresión
multinivel completo asume que hay un conjunto de datos
jerárquicos, con
una sola variable dependiente que es medida en el nivel más
bajo y
variables explicativas que existen en todos los niveles.
Conceptualmente el modelo puede ser visto como un sistema
jerárquico de
ecuaciones de regresión”.
Estudios precedentes
En la literatura revisada, no se encontró ninguna
investigación acerca de las competencias financieras
desarrolladas o adquiridas por
los estudiantes de los programas de Administración de
Empresas que ofertan las universidades colombianas. Sin
embargo, se han
encontrado algunos estudios relacionados a las competencias
genéricas, competencias específicas y, gestión financiera y
educación financiera.
En el artículo, “Prácticas de evaluación financiera de
inversiones
en Colombia” (Vecino, Rojas y Muñoz, 2015), los autores
identifican
la gestión financiera al caracterizar los criterios y
prácticas para
la evaluación de inversiones en empresas que operan en
Colombia. Este estudio se basó en la opinión de trecientas
empresas y se
determinó que al valorar un proyecto se le da importancia al
Valor
Presente Neto (vpn) y a la Tasa Interna de Retorno (tir). A
su vez, se
relega a un segundo plano la estimación del valor creado por
cada
unidad monetaria invertida. Otro resultado es la poca
capacidad
técnica que tienen las empresas pequeñas comparadas con las
medianas o grandes organizaciones.
Existe evidencia de la elaboración de instrumentos para
evaluar
las competencias básicas en economía y finanzas. Un ejemplo
lo
constituyen Mónica Vargas y Bertha Avendaño (2014) quienes,
en
“Diseño y análisis psicométrico de un instrumento que evalúa
competencias básicas en Economía y Finanzas: una
contribución a la
educación para el consumo”, realizaron un estudio de tipo
instrumental. El análisis se ejecutó mediante la teoría de
respuesta al ítem
(tri, por su sigla en inglés), que genera un desglose de
diferencias
entre grupos, también correlaciones entre los puntajes
totales de
la prueba y las variables sociodemográficas y de
comportamiento
económico. Posteriormente, se desarrolló el estudio
psicométrico
del instrumento bajo el modelo de Rasch que estableció el
nivel de
competencias básicas en economía y finanzas de la población
objeto del estudio. Por consiguiente, expertos valoraron y
determinaron
que el instrumento incluye los temas básicos que debe
evaluar y es
promisorio al corroborar varios de los hallazgos descritos.
Gracias
a estos resultados se sugiere que la evaluación de
competencias en
economía y finanzas posiblemente incluye elementos que
normalmente no son abordados en cursos enfocados o
relacionados con
estas áreas.
Por otro lado, Martha Beatriz Delgado Ramírez (2013) efectúo
una
investigación sobre la utilidad de los exámenes Saber Pro.
Este estudio establece que la prueba es un examen
estandarizado y que
su finalidad consiste en que las universidades propendan por
la
formulación de currículos centrados en el aprendizaje y
desarrollo
de competencias para que el alumno pueda desempeñarse en un
campo particular del conocimiento. La autora resalta la
importancia de que los resultados de estas pruebas sirvan de
insumo para los
procesos de autoevaluación y autorregulación de las
universidades.
Hay que mencionar, además, la investigación “Impacto de las
facultades de medicina y de los estudiantes sobre los
resultados en la
prueba nacional de calidad de la educación superior (Saber
Pro)”, de
los autores Gil, Rodríguez, Sepúlveda, Rondón y Gómez. Este
trabajo ofrece un interesante análisis a través de un modelo
jerárquico,
que muestra factores propios de la institución y del
contexto del
estudiante que inciden en los resultados obtenidos en la
prueba.
Algunos de los factores que abarcan con respecto a las
universidades son: origen de la institución (pública vs.
privada), cantidad
de grupos de investigación reconocidos por Colciencias
(categorías
A1, A y B), oferta de programas de especialización y si
cuentan o no
con hospital universitario propio. No obstante, no cuentan
con datos importantes de los estudiantes porque no son
recolectados en
los formularios de inscripción de las pruebas Saber Pro. Los
datos
faltantes podrían explicar las diferencias en los puntajes
del examen. Por ejemplo, no es posible determinar el impacto
que puedan
tener la educación primaria y media en los alumnos que
presentan
la prueba. Dado lo anterior, es obvio que el desempeño en
las pruebas Saber Pro depende de muchas otras variables que
no fueron
incluidas en su estudio. A pesar de esto, se estableció otro
aspecto
relevante: en el área médica se denota un mejor desempeño de
las
universidades públicas, relacionado con el estrato
socioeconómico
del estudiante.
Cabe señalar otro artículo importante: “Determinantes e
impactos de alfabetización financiera en Camboya y Vietnam”
(Morgan y Trinh, 2017). Esta indagación destaca la
incidencia de la educación
financiera en la toma de decisiones asertivas, cuando se
realiza una
planeación financiera. Para este fin se tomó como población
objeto de la investigación a 2 035 personas en Camboya y
Vietnam. En
el primer escenario se realizaron 1 035 encuestas y en el
segundo
1 000. El foco se centró en adultos divididos en dos
categorías: la
primera delimitada según su edad, nivel educativo, género,
ingresos y ocupación. La segunda categoría establecía la
incidencia del
conocimiento financiero en el manejo del ahorro y la
proyección
de la jubilación.
La investigación mencionada se sustenta en la indagación de
antecedentes literarios que identifican otras variables al
momento de
analizar: conceptos, actitudes, comportamiento y experiencia
financieros. De ahí que los principales hallazgos señalen
que a mayor
edad la formación financiera tiene menor importancia.
También
incide el género, ya que el conocimiento financiero cobra
mayor
importancia entre la población masculina. Además, hay una
correlación entre la alfabetización financiera y el promedio
del Producto
Interno Bruto (pib) de cada país. Se deduce que la situación
laboral
es determinante en el conocimiento financiero, los mejores
resultados los presentaron las personas que tienen una
ocupación salarial. Por último, el análisis concluye que la
población urbana tiene
mayor manejo de los temas financieros que la población
rural.
En el transcurso de la investigación se encontraron
antecedentes que permiten conocer e interpretar las
metodologías que se
han utilizado para analizar las competencias. Del mismo
modo,
se evidencia cómo se jerarquizan y ponderan estas. Es el
caso de
Blázquez y Pereti (2012), quienes presentan una herramienta
denominada hexágono de imagen que, junto con la herramienta
de los
hexágonos de utilidad-rentabilidad, pretende servir de
soporte a la
gestión de la sustentabilidad, en pos de lograr un
equilibrio dinámico entre los aspectos rentabilidad e
imagen.
De modo similar, Ansong y Gyensare (2012), en su estudio
denominado “Determinants of Working-students Financial
Literacy at the University of Cape Coast, Ghana”
establecieron determinantes
de la alfabetización financiera frente a algunas
características demográficas de los estudiantes; así,
proponen una investigación correlacional entre diferentes
variables. La investigación tuvo como
población objetivo doscientos cincuenta estudiantes de
pregrado
y postgrado de la Universidad de Cape Coast, en Ghana y sus
conclusiones más importantes fueron que el nivel de estudio,
la ubicación del trabajo, la educación del padre, el acceso
a los medios
de comunicación y la educación sobre el dinero no estaban
significativamente correlacionados con la alfabetización
financiera. No
obstante, se determinó que la edad, la experiencia y la
educación de
la madre sí se correlacionaban de manera positiva con la
alfabetización financiera de los estudiantes.
De manera análoga, en Ucrania se llevó a cabo de un estudio
sobre
la alfabetización financiera y el comportamiento de ahorro,
utilizando como insumo los datos de la encuesta nacional de
alfabetización financiera y concienciación en Ucrania
realizada por Finrep
y Usaid en 2010. Su conclusión fue que los factores más
relevantes
en la alfabetización financiera de éste país son: el nivel
de educación, el género, la ocupación, la región y la
riqueza. Por otro lado,
entre las variables que son indiferentes frente a la
alfabetización
financiera se tiene la edad y el área de residencia. Otro de
los resultados que se debe resaltar de este estudio es que
la alfabetización
financiera no tiene un impacto directo en el comportamiento
de
ahorro, aunque sí podría tener un impacto indirecto al
influir en el
ahorro como factor de riqueza de la población objeto del
estudio
(Kharchenko, 2011, p. 39).
La investigadora Angela Murphy (2005) adelantó un estudio
exploratorio en una universidad del sureste de Estados
Unidos, cuyos
resultados fueron plasmados en el artículo “Money, money,
money:
an Exploratory Study on the Financial Literacy of Black
College
Students”. En este, Murphy analiza 277 encuestas realizadas
a estudiantes de pregrado (de una universidad con predominio
de alumnos de raza negra). Su estudio se centra en la
influencia de factores sociodemográficos como la edad, el
género, la raza y el nivel educativo de sus padres frente a
la alfabetización financiera. El cuestionario consistía en
diez preguntas extraídas del contenido de un
módulo de alfabetización financiera orientado en la
universidad. En
sus conclusiones se resalta que la raza sí tuvo una
influencia, pues
los estudiantes que no son de color demostraron un
conocimiento
más preciso que los de raza de color. Conforme a los
resultados, se
estableció que los alumnos de carreras enfocados al área de
negocios tienen más conocimiento que los de otras áreas. Al
igual que
en estudios mencionados anteriormente, el presente escrito
afirma
que una de las variables con más influencia en la
alfabetización financiera es la educación de los padres. En
cuanto al género y la edad
no fueron relevantes como factores diferenciadores en este
estudio.
Continuando con los antecedentes, nos encontramos con
“Determinants of Financial Literacy Among the National
University of Lesotho Students” (Rasoaisi y Kalebe, 2015).
Este estudio con método
estadístico descriptivo representa la relación de variables
categóricas para concluir que los estudiantes hombres se
encuentran financieramente más informados que las mujeres de
la Universidad
Nacional de Lesoto (nul, por su sigla en inglés). Según los
autores,
al parecer los hombres tienen menos temores a la hora de
adquirir compromisos financieros. Por otra parte, el lugar
de residencia
no tiene ninguna implicación frente a la alfabetización
financiera,
tampoco la edad impacta considerablemente según se deriva de
que la media de edad de los estudiantes se encuentra dentro
de
una categoría no variada. Dentro de las recomendaciones se
menciona la viabilidad de incluir educación financiera en el
currículo de
la educación secundaria con el fin de crear una nación
económicamente alfabetizada en el largo plazo.
Grigion-Potrich, Vieira-Mendes y Kirch (2015), en su
estudio,
“Determinants of Financial Literacy: Analysis of the
Influence of
Socioeconomic and Demographic Variables”, aportan aspectos
importantes desde el análisis de variables socioeconómicas y
demográficas, en relación a la toma de decisiones asertiva
en el contexto económico de los individuos. Dicho estudio se
llevó a cabo en Rio
Grande do Sul, Brasil y se encuestó a 1 400 individuos,
mayores de
18 años. El examen de los datos se hizo a través de
estadística descriptiva y técnicas de análisis
multivariante. Así, los autores pudieron “establecer la
dependencia entre la alfabetización financiera
y las variables género, tener familiares dependientes,
ocupación,
nivel educativo, nivel educativo de la madre, ingreso
individual e
ingreso familiar” (p. 1059).
Se presentó como hallazgo la necesidad de diseñar medidas
para
reducir los problemas de alfabetismo financiero. Más aún, se
sugiere incluir materias relacionadas con la gestión
financiera y
conocimientos de mercado en todas las licenciaturas,
independientemente del campo de formación. Tales materias no
deberían
estar centradas solamente en la enseñanza de conceptos
financieros, sino deberían aportar consejos y prácticas para
mejorar las
actitudes y comportamientos financieros. En el mismo
sentido, se
plantea que debe dictarse en los primeros niveles de
educación con
la finalidad de preparar a los niños en gestión financiera y
que puedan reducir las desigualdades cuando sean adultos,
responsables
de administrar sus propios recursos. Finalmente, recomiendan
la
creación e implementación de programas educativos orientados
hacia la alfabetización financiera personal, en todos los
sectores de
la sociedad, empezando por identificar los perfiles de cada
grupo,
como en el caso de las mujeres por ser el grupo más bajo en
la caracterización; el objetivo sería definir productos y
servicios según
cada perfil. En cuanto a este aspecto, ya se han adelantado
medidas
por parte del Banco Central de Brasil (Bacen) y el Gobierno
Federal
Brasileño, que están implementando la Estrategia nacional de
educación financiera (Enef).
Metodología
Para el presente estudio se consideraron 25 231 estudiantes
de Administración de Empresas, de 143 universidades
colombianas, que
presentaron la prueba de competencias financieras para el
periodo 2016. Así, se excluyeron otros programas afines como
Administración de Negocios Internacionales, Administración
Comercial, Administración de Salud y demás. El análisis
propone como variable
respuesta en el modelo el puntaje en la prueba (inputs) y
como regresores, variables de individuo y de ies (output).
La fuente de información corresponde a la base de datos
pública del Icfes (2017)
para la prueba Saber Pro del año 2016, específicamente la
prueba de
competencia financiera y las variables de contexto.
De acuerdo con el Icfes (s. f.), los “modelos de regresión
multinivel”,
o como han sido llamados hasta el momento: modelos
jerárquicos
lineales, favorecen la medición del desempeño académico al
dar
importancia a variables socioeconómicas del individuo y la
escuela,
y a características como el sexo, el tipo de establecimiento
(oficial
rural, oficial urbano y no oficial) y el nivel
socioeconómico (Inse)
por estudiante y por escuela. Las variables que se tuvieron
en cuenta para la investigación se describen en la tabla
3.
Debemos hacer algunas aclaraciones: Género es una variable
cualitativa dicotómica, con valores 0 para mujer y 1 para
hombre. Edad,
por su parte, es una variable cuantitativa. Determinamos que
Universidad acreditada y Programa acreditado corresponden a
variables cualitativas con dos categorías, 1 en cuanto el
programa o universidad esté acreditado y 0 en caso
contrario. Finalmente, Método es una variable categórica,
que representa si el programa es
cursado de forma presencial, a distancia o virtual.
Como vemos, el modelo correspondiente, es un modelo de
efectos
fijos y aleatorios, en el que la parte aleatoria corresponde
a los efectos dados por la institución. De este modo, la
variable dependiente
responde al desempeño en la prueba de competencia financiera
(fi
)
para el año 2016, el individuo (i
i
) y de la institución de educación
donde egresa el estudiante (iesi
) más un término de error estocástico (ɛi
).
Para un segundo nivel, se tiene en cuenta la institución y se denotado por j.
Resultados
Se analizó un total de total de 25231 pruebas a estudiantes
del
programa de Administración de Empresas, distribuidos en 143
instituciones de educación superior, en todos los
departamentos
de Colombia.
De acuerdo con los análisis descriptivos se observan
diferencias
promedio en el desempeño teniendo en cuenta el género: a
favor
de los hombres. De igual manera, hubo mayores resultados en
las
instituciones y programas acreditados, en la modalidad
presencial,
por encima del promedio general. Finalmente, las
universidades
públicas tuvieron un desempeño más alto en la prueba que las
universidades privadas como se evidencia en la tabla
4.
Hay que agregar que los resultados de la tabla 5 señalan que la intersección del modelo es diferente de cero con una significancia de 0,000 (Sig < 0,05). Por lo que se puede inferir que existe un efecto no nulo en el desempeño de la prueba debido a la institución.
Por otro lado, la variabilidad del desempeño en la prueba es de 164 entre instituciones, y existe una variabilidad de 687 dentro de cada institución, como se observa en la tabla 6. Así mismo, se puede afirmar que existe un 37% (164/(164+686)) de variabilidad total del desempeño entre las instituciones en comparación con la variabilidad de los estudiantes por institución. Finalmente, es significativo (Sig < 0,005) considerar diferencias en el desempeño de la prueba en todas las instituciones.
Todos los factores influyen significativamente en el puntaje de la prueba (Sig < 0,05). En este se han incluido las variables tanto del nivel 1 (estudiante); género y edad, como de nivel 2 (institución); método del programa presencial, acreditación del programa y de la institución, evidenciando contribución a la variabilidad del rendimiento de la prueba en todas a excepción de la edad, que presenta una disminución por cada unidad que aumenta esta, como se evidencia en la tabla 7.
Como se observa, el hecho de que la institución sea acreditada, igual que el programa, genera un aumento en la prueba en 10,73 y 2,72 respectivamente. Lo mismo ocurre cuando el método de la carrera es presencial: hace que el puntaje aumente en 4,69. El caso contrario ocurre con la edad: por cada año que aumente la edad, el puntaje disminuye en 0,018 unidades. Por último, el hecho de ser hombre determina un aumento en 6,11 en la prueba.
Discusión
El estudio mostró la incidencia de factores que
explican el desempeño de los estudiantes de las
diferentes universidades colombianas frente a la
prueba Saber Pro, en cuanto al área de gestión
financiera para el año 2016. De acuerdo a
estudios anteriores, se
puede confirmar la incidencia de factores
individuales, como edad
y género. Sin embargo, factores que se
consideraban explicativos
como el nivel socioeconómico (Inse), formación
académica de padres o la ocupación no resultaron
determinantes en esta ocasión.
Por lo que respecta a las variables de contexto,
podemos decir que
son explicativas con una incidencia positiva en
el resultado. Así
como las variables de acreditación la
universidad, del programa y
la modalidad del programa. Estos resultados
plantean un reto a las
universidades y programas que aún no han
obtenido la acreditación
o que ofrecen el programa de manera virtual para
mejorar su proceso educativo.
De igual manera que en investigaciones
anteriores en el campo del
desempeño educativo, este estudio evidencia que
continúan las
brechas de género, lo que implica que se
favorece al masculino. A
pesar de los esfuerzos por mejorar la educación
y los diversos estudios en los que se han
manifestado diferencias al respecto, tales
brechas persisten en los diversos
contextos
Es por esto que, una vez identificados los
factores incidentes en el
desempeño en la competencia financiera, se abre
la posibilidad de
que futuros estudios sobre las diferencias
existentes, puedan ser
considerados con el fin de generar políticas
públicas en pro de la
mejora de la calidad de la educación. En este
sentido, está visto que
tanto las universidades, como los programas
acreditados aportan
de manera directa a los resultados. Por ello, se
debe indagar en los
diferenciales de las estrategias educativas
entre los programas que
han sido acreditados y los que no.
Dicho lo anterior, debemos tener en cuenta que
en la era del mundo tecnológico, en la que se ha
incrementado el número de ofertas educativas
virtuales que posibilitan el acceso a la
educación de
muchos ciudadanos, es importante velar por
mejorar los procesos
educativos, puesto que, según los resultados, el
desempeño en la
competencia financiera es mejor en la modalidad
de educación
presencial, por encima de la virtual y la
educación a distancia.
Referencias
Ansong, A. y M. A. Gyensare. (2012). Determinants
of Working-Students Financial
Literacy at the University of Cape Coast, Ghana.
International Journal of
Business and Management, 7(9), 126-133.
Blázquez, M y Peretti, M. (2012). Modelo
para gestionar la sustentabilidad de las
organizaciones a través de la rentabilidad,
adaptabilidad e imagen. Estudios
Gerenciales, 28, 40-50.
Bryk, A. S. y Raudenbush, S. W. (1992)
Hierarchical linear models (applications and
data analysis methods). New York: Sage
Publications.
Daza, A., Charris, A. y Viloria, J.
(2015). Competencias específicas de los
administradores como: factor de desarrollo.
Dimensión Empresarial, 3(2), 275-292.
Delgado, M. (2013). Examen de Estado de
la Calidad de la Educación Superior:
Saber Pro. ¿Qué indican sus resultados? Revista
Colombiana de Anestesiología, 41(3), 177-178.
De la Cruz, F. (2008). Modelos
multinivel. Revista Peruana de Epidemiología,
12(3), 1-8.
Gil, F., Rodríguez, V., Sepúlveda, L.,
Rondón, M. y Gómez, C. (2013). Impacto de
las facultades de medicina y de los estudiantes
sobre los resultados en la
prueba nacional de calidad de la educación
superior (Saber Pro). Revista
Colombiana de Anestesiología, 41, 196-204.
Grigion-Potrich, A. C., Vieira-Mendes,
K. y Kirch, G. (2015). Determinants of Financial
Literacy: Analysis of the Influence of
Socioeconomic and Demographic Variables. Revista
Contabilidade & Finanças, 26(69), 362-377.
Icfes (s. f.). Medición del nivel
socioeconómico y su impacto en el desempeño
académico de los estudiantes. https://
Medicion%20nivel%20socioeconomico%20
e%20impacto%20en%20desempeno%20academico%20estudiantes.pdf
Icfes (2017). Saber Pro competencias
específicas. Guía de orientación. Módulo de
gestión financiera. ftp: //ftp.Icfes.gov.co/
Iñíguez-Berrozpe, T. y Marcaletti, F.
(2018). Modelos lineales multinivel en SPSS
y su aplicación en investigación educativa.
Revista d’Innovació i Recerca en
Educació, 11(1), 26-40.
http://doi.org/10.1344/reire2018.11.118984
Kharchenko, O. (2011). Financial
Literacy in Ukraine: Determinants and
Implications for Saving Behavior. (Tesis de
Maestría). Kyiv School of Economics,
Kiev, Ucrania.
Morgan, P.J. y L. Q. Trinh. (2017).
Determinants and Impacts of Financial Literacy
in Cambodia and Viet Nam. ADBI Working Paper
754. Tokyo: Asian
Development Bank Institute.
https://www.adb.org/publications/determinants-and-impacts-financialliteracy-cambodia-and-viet-nam
Murphy, A. (2005). Money, money, money:
An exploratory study on the financial
knowledge of black college students. College
Student Journal, 39(3), 478-488.
Rasoaisi, L. y Kalebe, M. (2015).
Determinants of Financial Lteracy Among the
National University of Lesotho Students. Asian
Economic and Financial Review,
5(9), 1050-1060.
Tuning. (2007). Reflexiones y
perspectivas de la educación superior en América
Latina2004-2007. Bilbao: Publicaciones de la
Universidad de Deusto.
Vargas, M. y Avendaño, B. (2014). Diseño
y análisis psicométrico de un instrumento que
evalúa competencias básicas en Economía y
Finanzas: una contribución en Economía y
Finanzas: una contribución. Universitas
Psychologica,
13(4), 1379-1393.
Vecino, C. Rojas, S. y Muñoz, Y. (2015).
Prácticas de evaluación financiera de
inversiones en Colombia. Revista Estudios
Gerenciales, 31(134), 41-49.
Este libro fue editado por la Editorial Uniagustiniana. Su texto se compone con letra tipo Lora a 10 pts.